🇳🇴 🇬🇧 🇩🇪 🇨🇿 🇫🇮

Meteor, poloha: Kárášjohka 2023-12-15 05:40:06 UTC

Soubor KML  |  InteraktivnĂ­ mapa

Mapa zobrazuje dráhy meteoru. Světlejší čáry ukazují směry od pozorovacích stanic při objevení se meteoru a tmavší čáry, kde byl naposledy viděn. Modrá šipka značí viditelnou dráhu meteoru.

static map
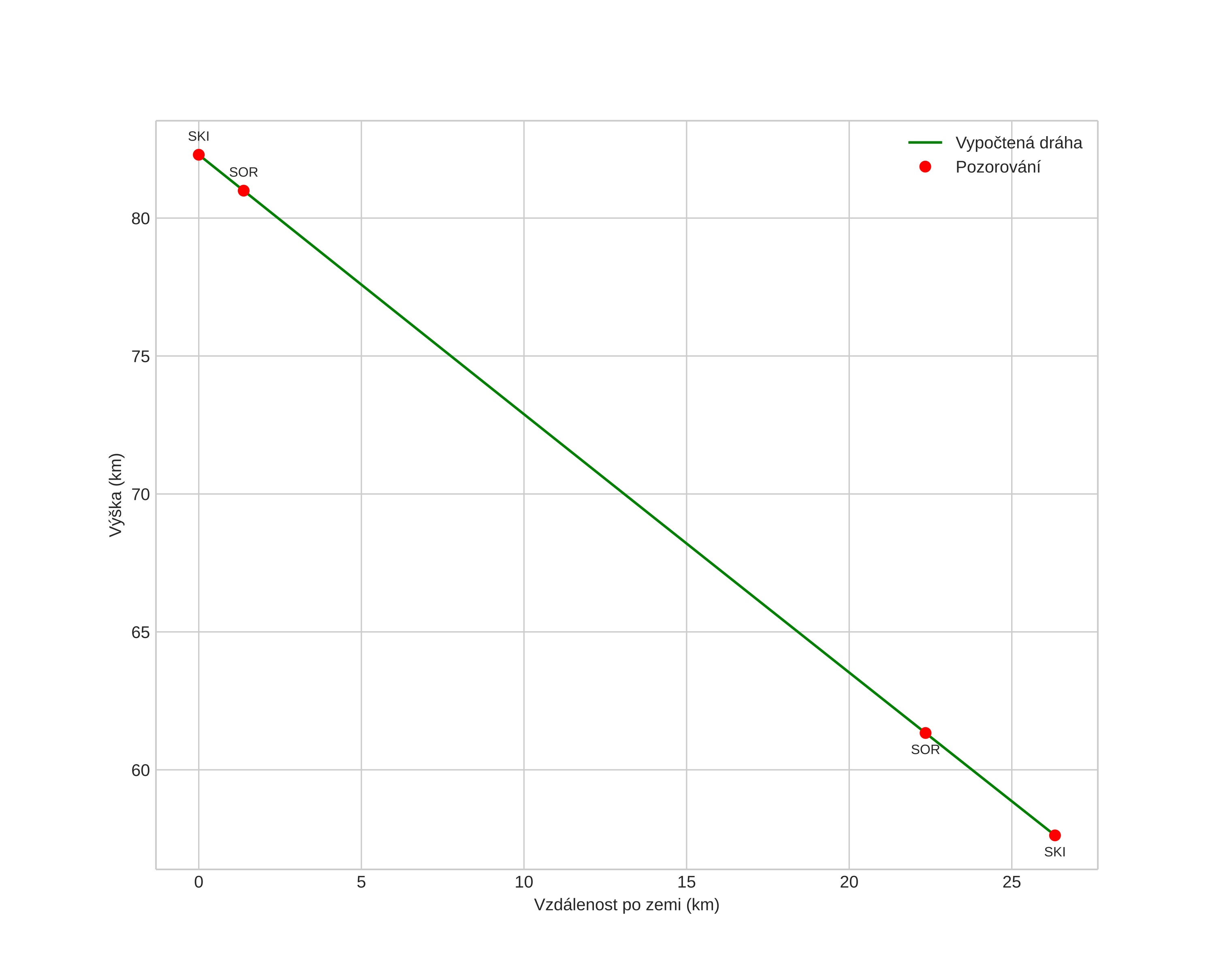
height profile
Atmosférická dráha meteoru:
Počáteční výška: 80,9 km
Konečná výška: 56,7 km
Počáteční poloha: 68,842N 24,007E
Konečná poloha: 68,840N 24,659E
Směr: 90,2°
Sklon: 42,8°
VstupnĂ­ rychlost: 29,5 km/s
Rektascenze radiantu: 07:57 (119,3°)
Deklinace radiantu: 37,5°
MeteorickĂ˝ roj: Geminidy
Elementy dráhy meteoroidu:
Vzdálenost v periheliu: 0,206 AU
Excentricita: 0,779
Sklon dráhy: 25,2°
Délka vzestupného uzlu: 262,6°
Argument perihelia: 323,7°
Střední anomálie: 310,5°
Epocha: 2023 DEC 15 05:40:06
orbit plot

NeinteraktivnĂ­ graf | InteraktivnĂ­ graf

position vs time
speed and acceleration