🇳🇴 🇬🇧 🇩🇪 🇨🇿 🇫🇮

Meteor Kárášjohkan yllä 2023-12-15 05:40:06 UTC

KML-tiedosto  |  Interaktiivinen kartta

Kartta näyttää meteorin suuntahavainnot. Vaaleammat viivat näyttävät suunnat havaintoasemilta meteorin ilmestyessä, ja tummemmat viivat näyttävät, missä se viimeksi nähtiin. Sininen nuoli näyttää meteorin näkyvän lennon.

static map
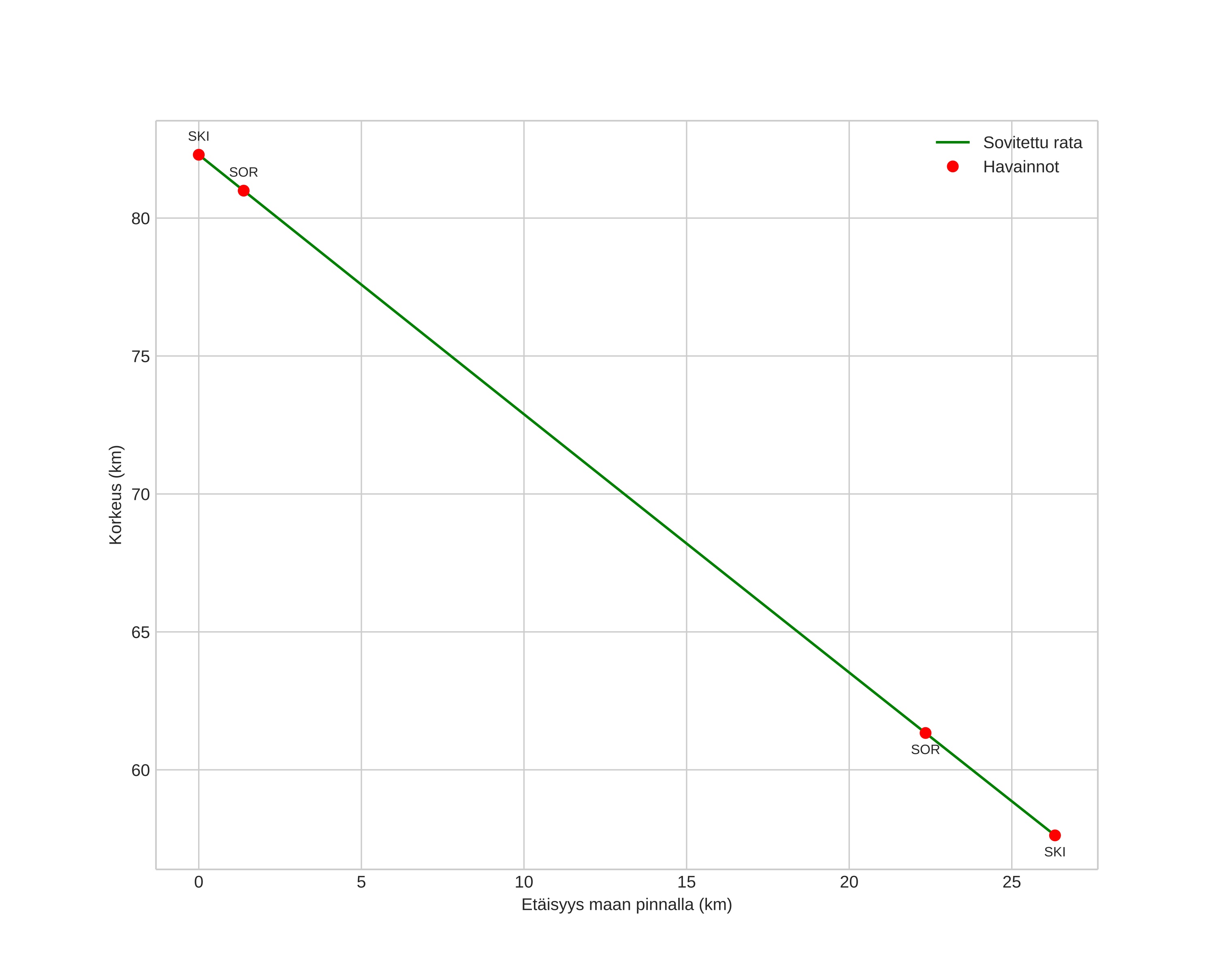
height profile
Meteorin ilmakehärata:
Alkukorkeus: 80,9 km
Loppukorkeus: 56,7 km
Alkupiste: 68,842N 24,007E
Loppupiste: 68,840N 24,659E
Suunta: 90,2°
Kallistuskulma: 42,8°
Tulonopeus: 29,5 km/s
Radiantin R,A,: 07:57 (119,3°)
Radiantin Dekl,: 37,5°
Meteoriparvi: Geminidit
Meteoroidin rataelementit:
Perihelietäisyys: 0,206 AU
Eksentrisyys: 0,779
Inklinaatio: 25,2°
Nousevan solmun pituus: 262,6°
Perihelin argumentti: 323,7°
Keskianomalia: 310,5°
Epookki: 2023 DEC 15 05:40:06
orbit plot

Ei-interaktiivinen kuvaaja | Interaktiivinen kuvaaja

position vs time
speed and acceleration