🇳🇴 🇬🇧 🇩🇪 🇨🇿 🇫🇮

Meteor, poloha: Hansnes 2023-12-15 05:42:46 UTC

Soubor KML  |  InteraktivnĂ­ mapa

Mapa zobrazuje dráhy meteoru. Světlejší čáry ukazují směry od pozorovacích stanic při objevení se meteoru a tmavší čáry, kde byl naposledy viděn. Modrá šipka značí viditelnou dráhu meteoru.

static map
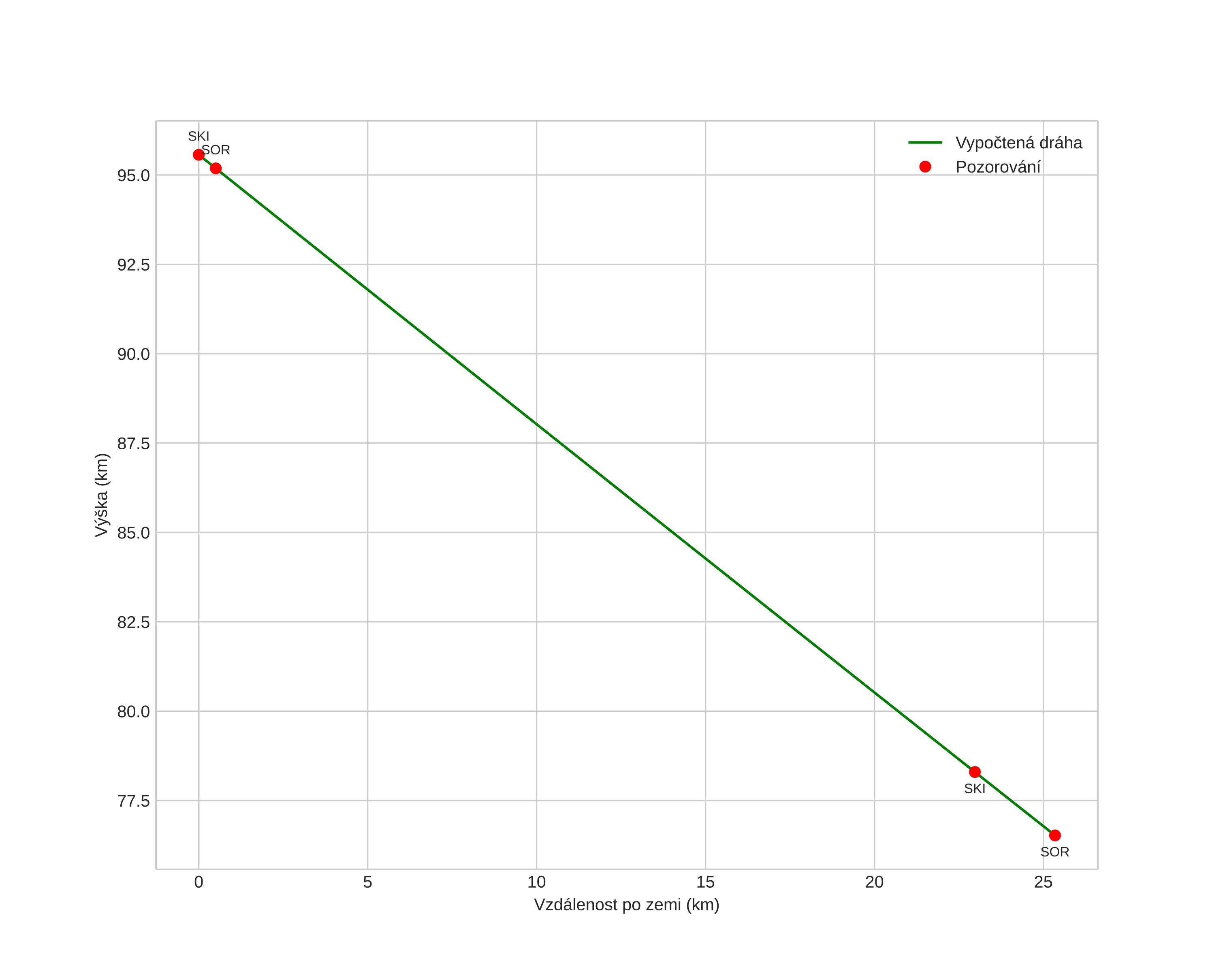
height profile
Atmosférická dráha meteoru:
Počáteční výška: 96,0 km
Konečná výška: 77,1 km
Počáteční poloha: 70,866N 19,139E
Konečná poloha: 70,890N 19,841E
Směr: 83,6°
Sklon: 36,3°
VstupnĂ­ rychlost: 36,8 km/s
Rektascenze radiantu: 07:46 (116,6°)
Deklinace radiantu: 30,6°
MeteorickĂ˝ roj: Geminidy
Elementy dráhy meteoroidu:
Vzdálenost v periheliu: 0,111 AU
Excentricita: 0,913
Sklon dráhy: 24,1°
Délka vzestupného uzlu: 262,6°
Argument perihelia: 329,3°
Střední anomálie: 334,9°
Epocha: 2023 DEC 15 05:42:46
orbit plot

NeinteraktivnĂ­ graf | InteraktivnĂ­ graf

position vs time
speed and acceleration

Skibotn (SKI) cam4

gnomonic
Videa
• Původní
Obrázky
• Původní
Textové soubory
• Detekce
• Pozorování
• Souřadnice
• Chybová hlášení
• Protokol
Jasnost