🇳🇴 🇬🇧 🇩🇪 🇨🇿 🇫🇮

Meteor über Hansnes 2023-12-15 05:42:46 UTC

KML-Datei  |  Interaktive Karte

Die Karte zeigt die Peilungen für den Meteor. Die helleren Linien zeigen die Richtungen von den Beobachtungsorten beim Erscheinen des Meteors, und die dunkleren Linien, wo er zuletzt gesehen wurde. Der blaue Pfeil zeigt die sichtbare Bahn des Meteors.

static map
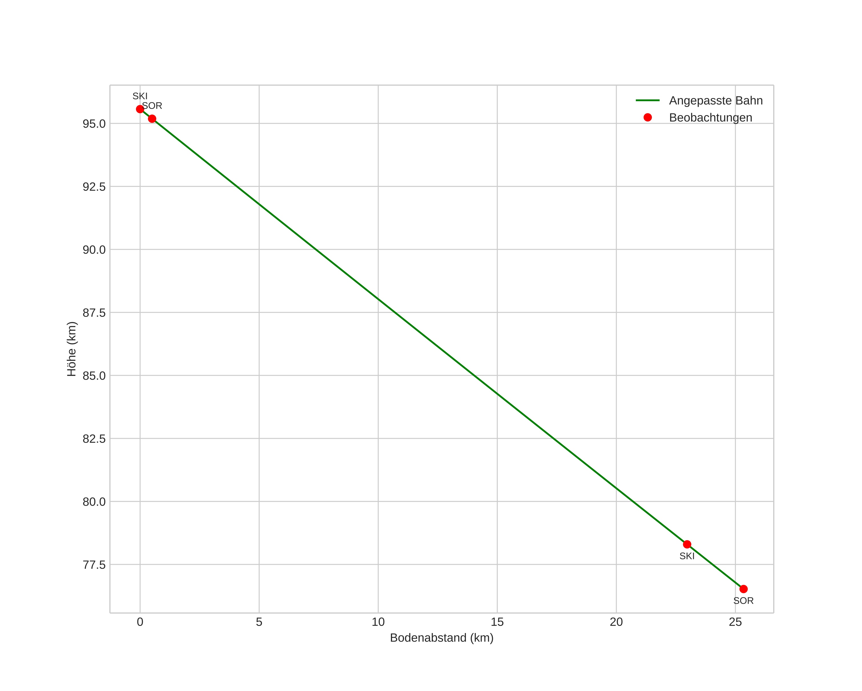
height profile
Atmosphärische Bahn des Meteors:
Anfangshöhe: 96,0 km
Endhöhe: 77,1 km
Startposition: 70,866N 19,139E
Endposition: 70,890N 19,841E
Richtung: 83,6°
Neigungswinkel: 36,3°
Eintrittsgeschwindigkeit: 36,8 km/s
Rektaszension des Radianten: 07:46 (116,6°)
Deklination des Radianten: 30,6°
Meteorstrom: Geminiden
Bahnelemente des Meteoroiden:
Periheldistanz: 0,111 AU
Exzentrizität: 0,913
Inklination: 24,1°
Länge des aufsteigenden Knotens: 262,6°
Argument des Perihels: 329,3°
Mittlere Anomalie: 334,9°
Epoche: 2023 DEC 15 05:42:46
orbit plot

Nicht-interaktives Diagramm | Interaktives Diagramm

position vs time
speed and acceleration

Skibotn (SKI) cam4

gnomonic
Videos
• Original
Bilder
• Original
Textdateien
• Erkennung
• Beobachtung
• Koordinaten
• Fehlermeldungen
• Protokoll
Helligkeit