🇳🇴 🇬🇧 🇩🇪 🇨🇿 🇫🇮

Meteor, poloha: Kiruna 2023-12-15 06:00:39 UTC

Soubor KML  |  InteraktivnĂ­ mapa

Mapa zobrazuje dráhy meteoru. Světlejší čáry ukazují směry od pozorovacích stanic při objevení se meteoru a tmavší čáry, kde byl naposledy viděn. Modrá šipka značí viditelnou dráhu meteoru.

static map
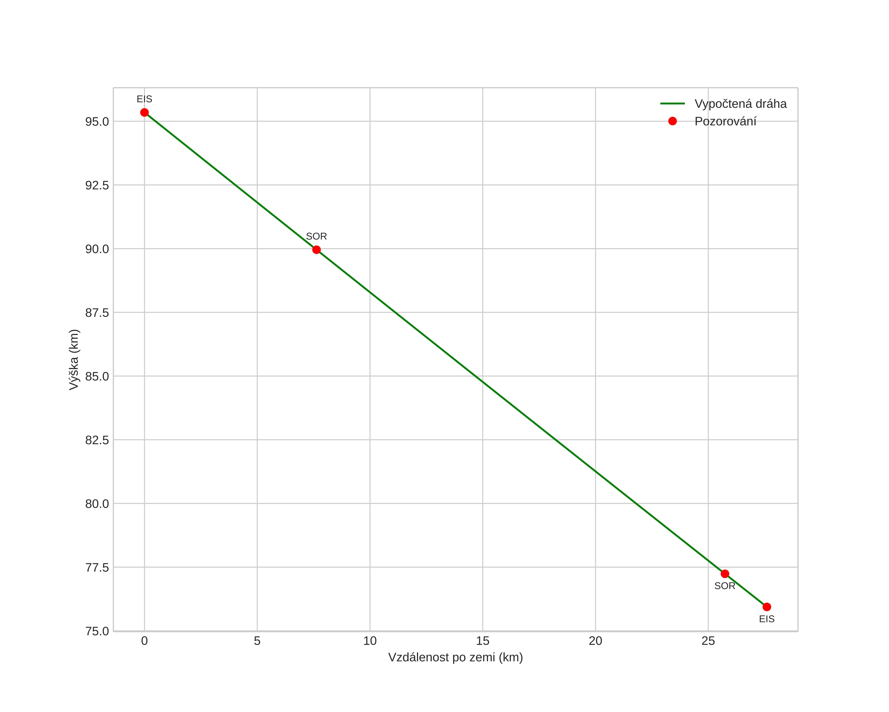
height profile
Atmosférická dráha meteoru:
Počáteční výška: 96,0 km
Konečná výška: 76,2 km
Počáteční poloha: 68,560N 20,286E
Konečná poloha: 68,545N 20,961E
Směr: 93,2°
Sklon: 35,7°
VstupnĂ­ rychlost: 36,9 km/s
Rektascenze radiantu: 07:39 (114,9°)
Deklinace radiantu: 32,7°
MeteorickĂ˝ roj: Geminidy
Elementy dráhy meteoroidu:
Vzdálenost v periheliu: 0,134 AU
Excentricita: 0,905
Sklon dráhy: 26,4°
Délka vzestupného uzlu: 262,6°
Argument perihelia: 324,8°
Střední anomálie: 338,5°
Epocha: 2023 DEC 15 06:00:39
orbit plot

NeinteraktivnĂ­ graf | InteraktivnĂ­ graf

position vs time
speed and acceleration