🇳🇴 🇬🇧 🇩🇪 🇨🇿 🇫🇮

Meteor Kirunan yllä 2023-12-15 06:00:39 UTC

KML-tiedosto  |  Interaktiivinen kartta

Kartta näyttää meteorin suuntahavainnot. Vaaleammat viivat näyttävät suunnat havaintoasemilta meteorin ilmestyessä, ja tummemmat viivat näyttävät, missä se viimeksi nähtiin. Sininen nuoli näyttää meteorin näkyvän lennon.

static map
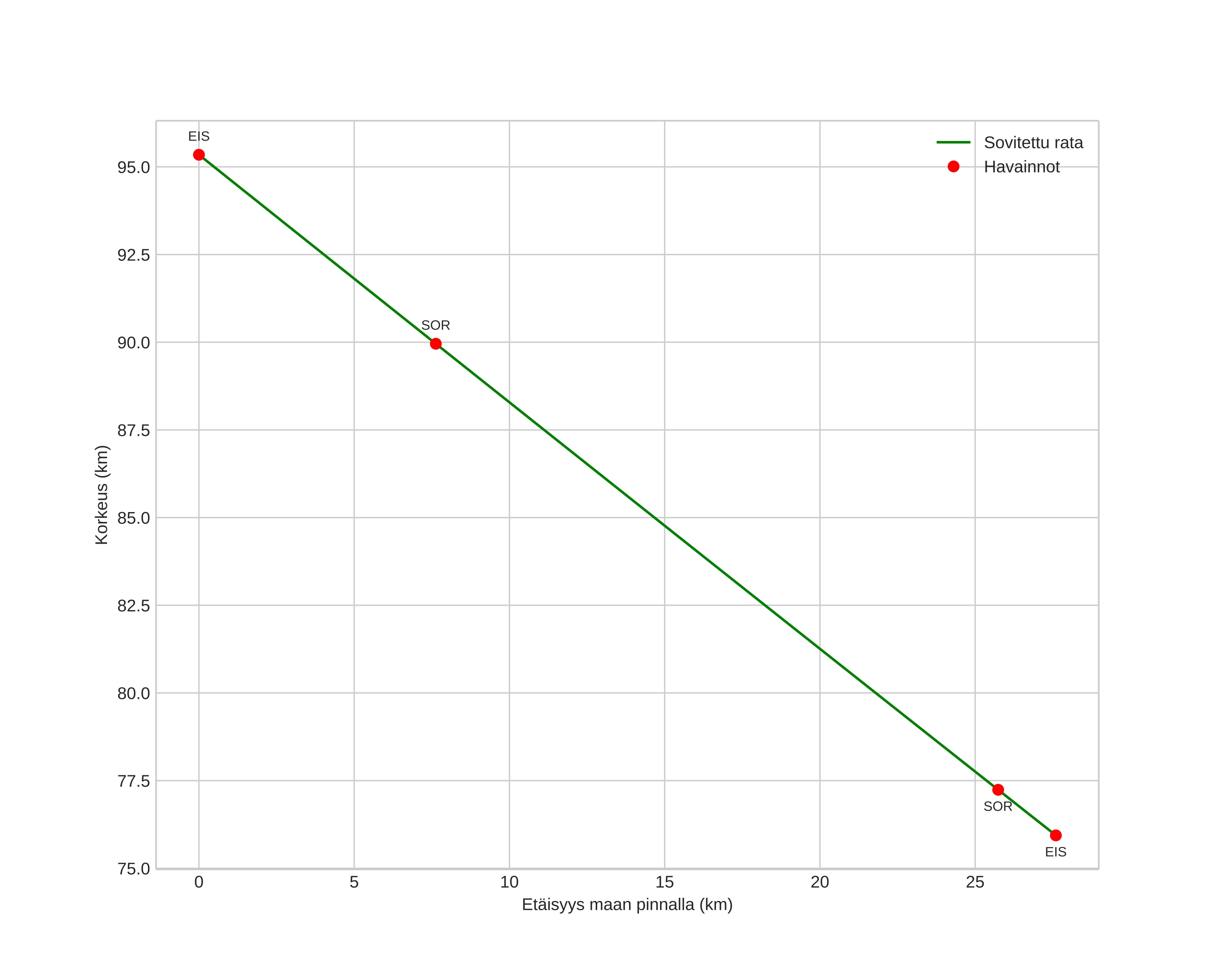
height profile
Meteorin ilmakehärata:
Alkukorkeus: 96,0 km
Loppukorkeus: 76,2 km
Alkupiste: 68,560N 20,286E
Loppupiste: 68,545N 20,961E
Suunta: 93,2°
Kallistuskulma: 35,7°
Tulonopeus: 36,9 km/s
Radiantin R,A,: 07:39 (114,9°)
Radiantin Dekl,: 32,7°
Meteoriparvi: Geminidit
Meteoroidin rataelementit:
Perihelietäisyys: 0,134 AU
Eksentrisyys: 0,905
Inklinaatio: 26,4°
Nousevan solmun pituus: 262,6°
Perihelin argumentti: 324,8°
Keskianomalia: 338,5°
Epookki: 2023 DEC 15 06:00:39
orbit plot

Ei-interaktiivinen kuvaaja | Interaktiivinen kuvaaja

position vs time
speed and acceleration