🇳🇴 🇬🇧 🇩🇪 🇨🇿 🇫🇮

Meteor, poloha: Skjærhalden 2023-12-19 03:45:59 UTC

Soubor KML  |  InteraktivnĂ­ mapa

Mapa zobrazuje dráhy meteoru. Světlejší čáry ukazují směry od pozorovacích stanic při objevení se meteoru a tmavší čáry, kde byl naposledy viděn. Modrá šipka značí viditelnou dráhu meteoru.

static map
height profile
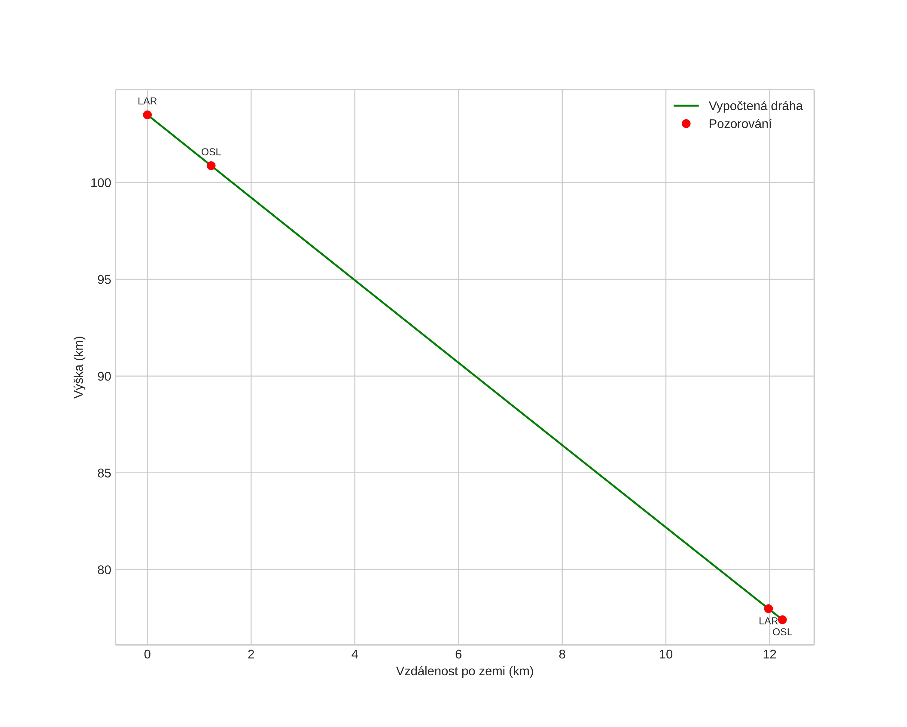
Atmosférická dráha meteoru:
Počáteční výška: 102,3 km
Konečná výška: 77,1 km
Počáteční poloha: 58,965N 11,041E
Konečná poloha: 58,865N 10,966E
Směr: 201,4°
Sklon: 64,7°
VstupnĂ­ rychlost: 35,4 km/s
Rektascenze radiantu: 13:50 (207,7°)
Deklinace radiantu: 79,0°
MeteorickĂ˝ roj: Ursidy
Elementy dráhy meteoroidu:
Vzdálenost v periheliu: 0,918 AU
Excentricita: 0,860
Sklon dráhy: 52,6°
Délka vzestupného uzlu: 266,6°
Argument perihelia: 211,3°
Střední anomálie: 358,7°
Epocha: 2023 DEC 19 03:45:59
orbit plot

NeinteraktivnĂ­ graf | InteraktivnĂ­ graf

position vs time
speed and acceleration