🇳🇴 🇬🇧 🇩🇪 🇨🇿 🇫🇮

Meteor über Skjærhalden 2023-12-19 03:45:59 UTC

KML-Datei  |  Interaktive Karte

Die Karte zeigt die Peilungen für den Meteor. Die helleren Linien zeigen die Richtungen von den Beobachtungsorten beim Erscheinen des Meteors, und die dunkleren Linien, wo er zuletzt gesehen wurde. Der blaue Pfeil zeigt die sichtbare Bahn des Meteors.

static map
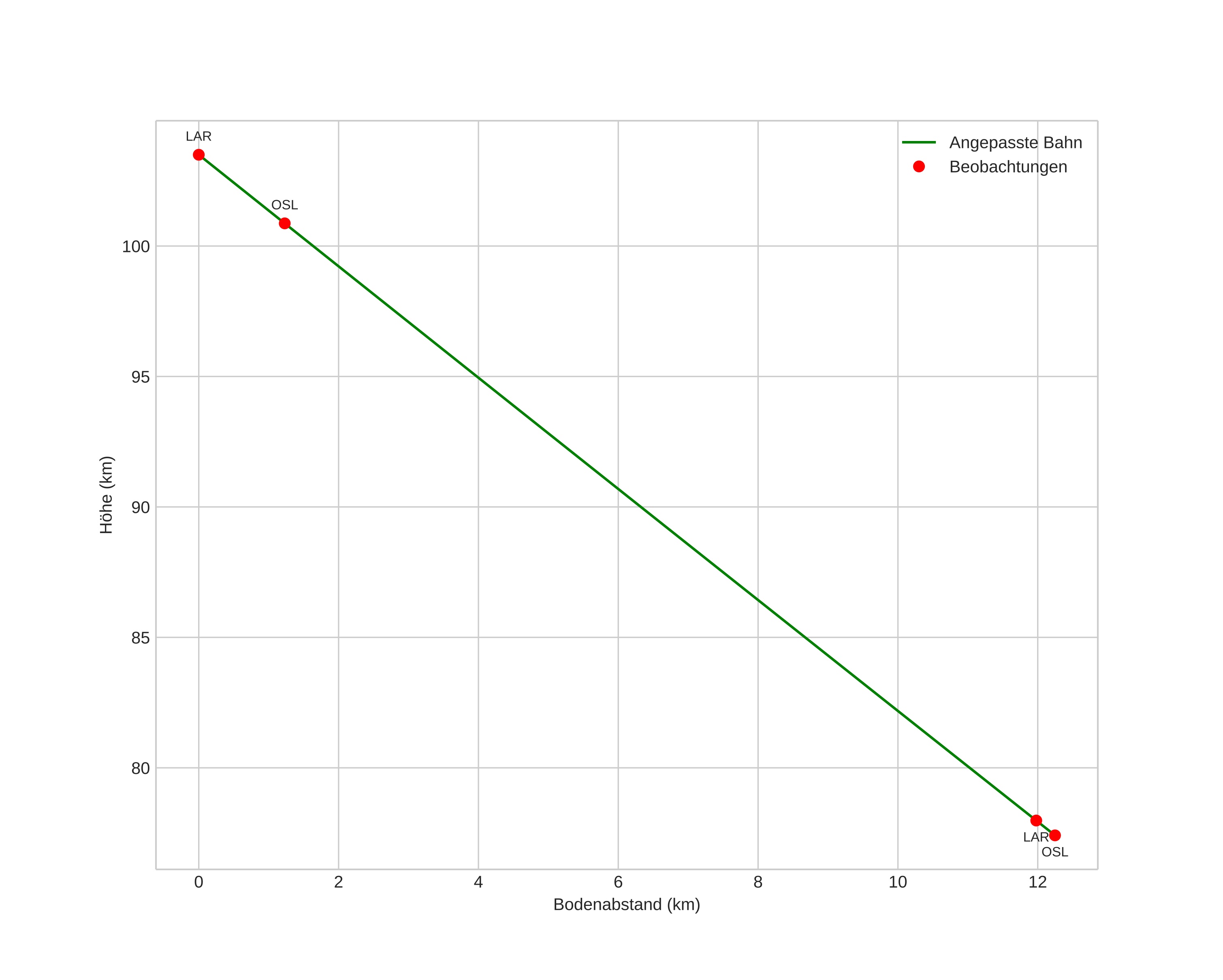
height profile
Atmosphärische Bahn des Meteors:
Anfangshöhe: 102,3 km
Endhöhe: 77,1 km
Startposition: 58,965N 11,041E
Endposition: 58,865N 10,966E
Richtung: 201,4°
Neigungswinkel: 64,7°
Eintrittsgeschwindigkeit: 35,4 km/s
Rektaszension des Radianten: 13:50 (207,7°)
Deklination des Radianten: 79,0°
Meteorstrom: Ursiden
Bahnelemente des Meteoroiden:
Periheldistanz: 0,918 AU
Exzentrizität: 0,860
Inklination: 52,6°
Länge des aufsteigenden Knotens: 266,6°
Argument des Perihels: 211,3°
Mittlere Anomalie: 358,7°
Epoche: 2023 DEC 19 03:45:59
orbit plot

Nicht-interaktives Diagramm | Interaktives Diagramm

position vs time
speed and acceleration