🇳🇴 🇬🇧 🇩🇪 🇨🇿 🇫🇮

Meteor, poloha: Moen 2023-12-22 03:25:38 UTC

Soubor KML  |  InteraktivnĂ­ mapa

Mapa zobrazuje dráhy meteoru. Světlejší čáry ukazují směry od pozorovacích stanic při objevení se meteoru a tmavší čáry, kde byl naposledy viděn. Modrá šipka značí viditelnou dráhu meteoru.

static map
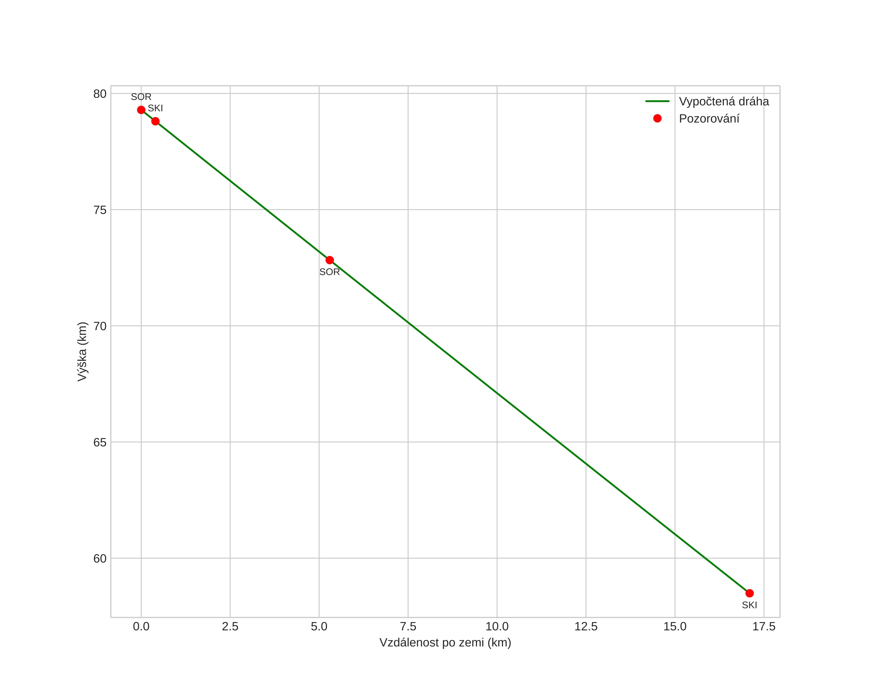
height profile
Atmosférická dráha meteoru:
Počáteční výška: 79,2 km
Konečná výška: 58,6 km
Počáteční poloha: 68,721N 18,485E
Konečná poloha: 68,654N 18,858E
Směr: 116,3°
Sklon: 50,7°
VstupnĂ­ rychlost: 19,0 km/s
Rektascenze radiantu: 04:32 (68,0°)
Deklinace radiantu: 51,4°
MeteorickĂ˝ roj: sporadickĂ˝
Elementy dráhy meteoroidu:
Vzdálenost v periheliu: 0,815 AU
Excentricita: 0,608
Sklon dráhy: 12,6°
Délka vzestupného uzlu: 269,7°
Argument perihelia: 236,9°
Střední anomálie: 347,5°
Epocha: 2023 DEC 22 03:25:38
orbit plot

NeinteraktivnĂ­ graf | InteraktivnĂ­ graf

position vs time
speed and acceleration