🇳🇴 🇬🇧 🇩🇪 🇨🇿 🇫🇮

Meteor Moenin yllä 2023-12-22 03:25:38 UTC

KML-tiedosto  |  Interaktiivinen kartta

Kartta näyttää meteorin suuntahavainnot. Vaaleammat viivat näyttävät suunnat havaintoasemilta meteorin ilmestyessä, ja tummemmat viivat näyttävät, missä se viimeksi nähtiin. Sininen nuoli näyttää meteorin näkyvän lennon.

static map
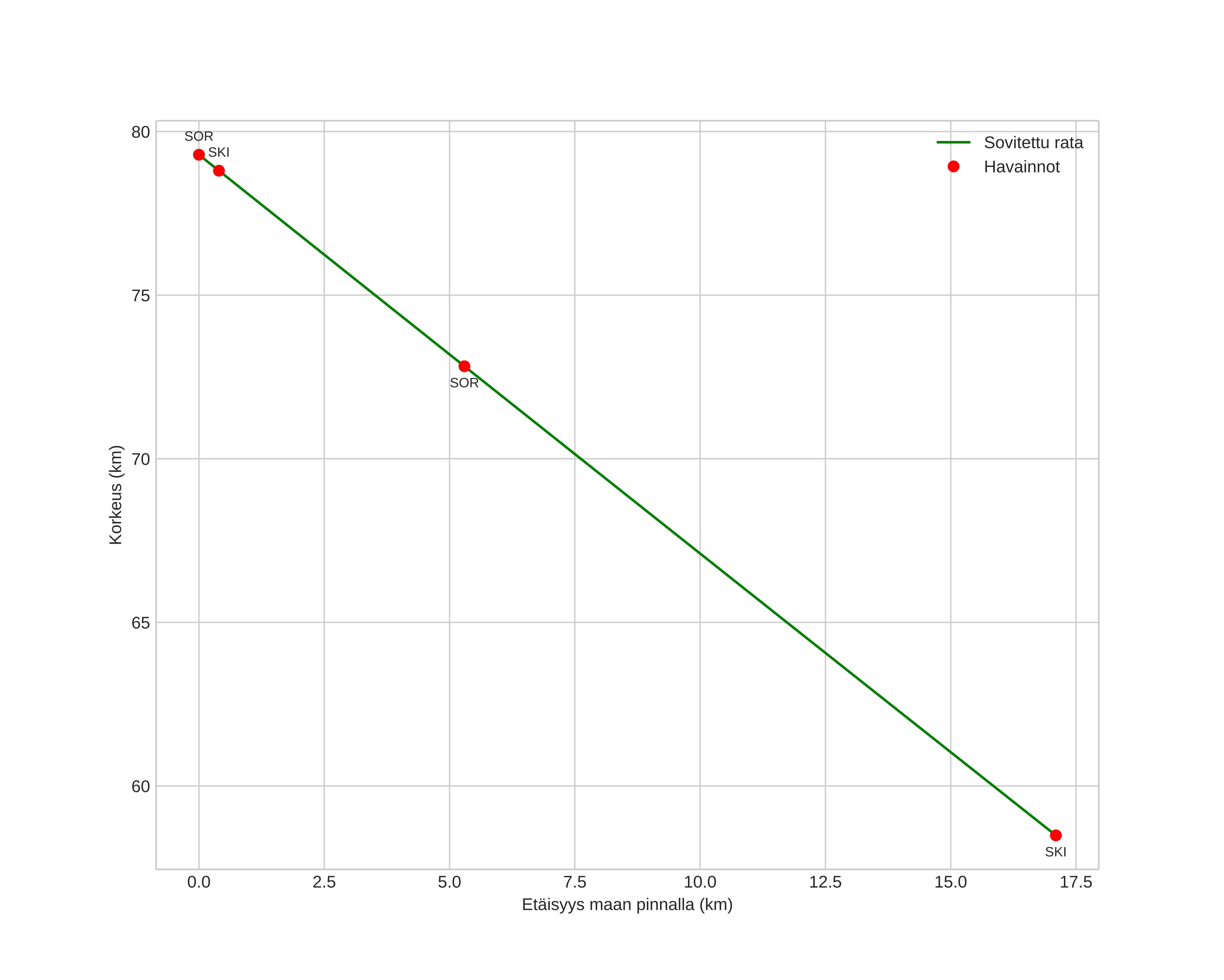
height profile
Meteorin ilmakehärata:
Alkukorkeus: 79,2 km
Loppukorkeus: 58,6 km
Alkupiste: 68,721N 18,485E
Loppupiste: 68,654N 18,858E
Suunta: 116,3°
Kallistuskulma: 50,7°
Tulonopeus: 19,0 km/s
Radiantin R,A,: 04:32 (68,0°)
Radiantin Dekl,: 51,4°
Meteoriparvi: Sporadinen
Meteoroidin rataelementit:
Perihelietäisyys: 0,815 AU
Eksentrisyys: 0,608
Inklinaatio: 12,6°
Nousevan solmun pituus: 269,7°
Perihelin argumentti: 236,9°
Keskianomalia: 347,5°
Epookki: 2023 DEC 22 03:25:38
orbit plot

Ei-interaktiivinen kuvaaja | Interaktiivinen kuvaaja

position vs time
speed and acceleration