🇳🇴 🇬🇧 🇩🇪 🇨🇿 🇫🇮

Meteor, poloha: Finnsnes 2023-12-22 15:57:33 UTC

Soubor KML  |  InteraktivnĂ­ mapa

Mapa zobrazuje dráhy meteoru. Světlejší čáry ukazují směry od pozorovacích stanic při objevení se meteoru a tmavší čáry, kde byl naposledy viděn. Modrá šipka značí viditelnou dráhu meteoru.

static map
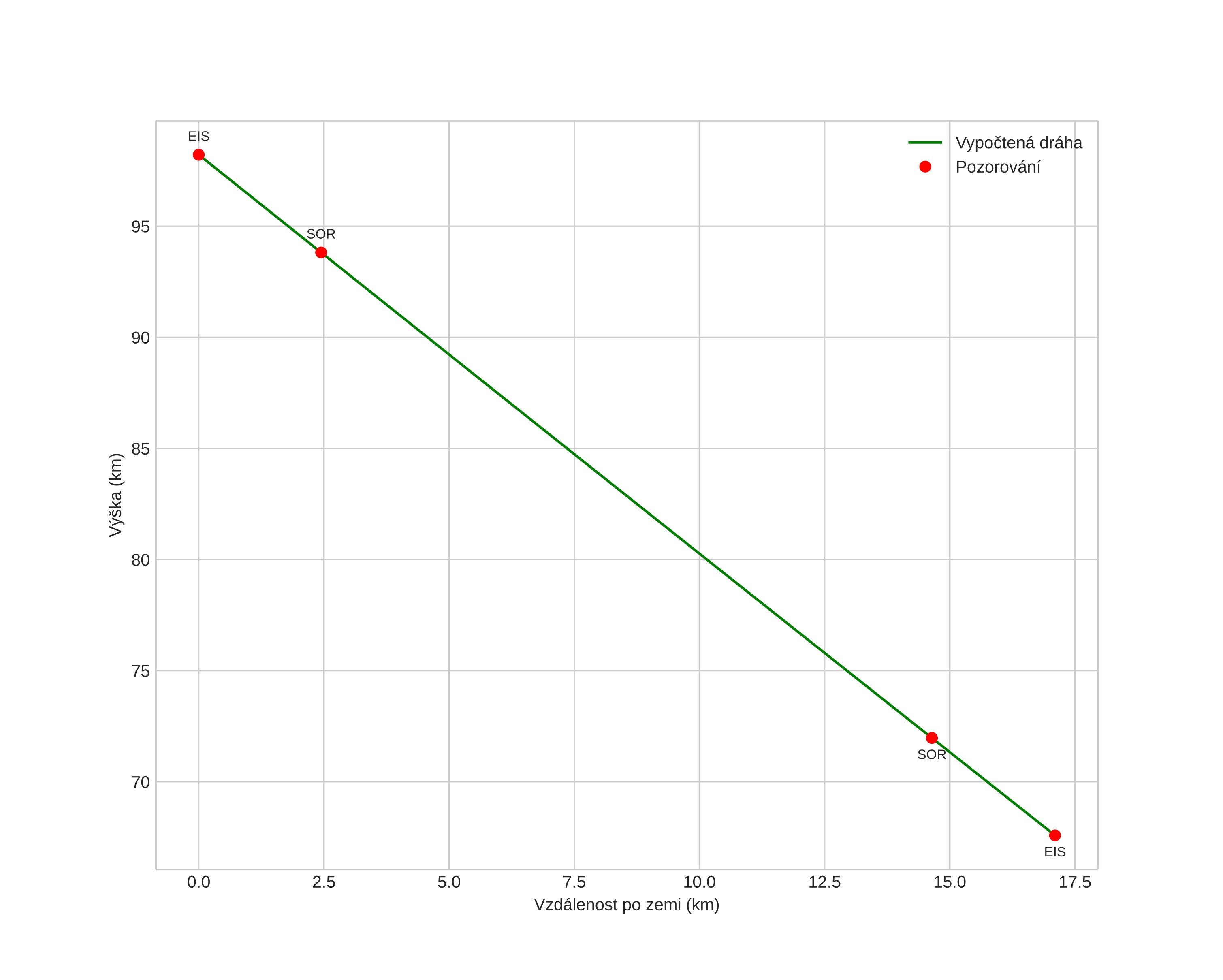
height profile
Atmosférická dráha meteoru:
Počáteční výška: 97,9 km
Konečná výška: 68,6 km
Počáteční poloha: 70,853N 17,438E
Konečná poloha: 70,730N 17,585E
Směr: 158,5°
Sklon: 63,4°
VstupnĂ­ rychlost: 35,1 km/s
Rektascenze radiantu: 15:00 (225,2°)
Deklinace radiantu: 78,2°
MeteorickĂ˝ roj: Ursidy
Elementy dráhy meteoroidu:
Vzdálenost v periheliu: 0,940 AU
Excentricita: 0,936
Sklon dráhy: 51,4°
Délka vzestupného uzlu: 270,2°
Argument perihelia: 204,9°
Střední anomálie: 359,7°
Epocha: 2023 DEC 22 15:57:33
orbit plot

NeinteraktivnĂ­ graf | InteraktivnĂ­ graf

position vs time
speed and acceleration