🇳🇴 🇬🇧 🇩🇪 🇨🇿 🇫🇮

Meteor Finnsnesin yllä 2023-12-22 15:57:33 UTC

KML-tiedosto  |  Interaktiivinen kartta

Kartta näyttää meteorin suuntahavainnot. Vaaleammat viivat näyttävät suunnat havaintoasemilta meteorin ilmestyessä, ja tummemmat viivat näyttävät, missä se viimeksi nähtiin. Sininen nuoli näyttää meteorin näkyvän lennon.

static map
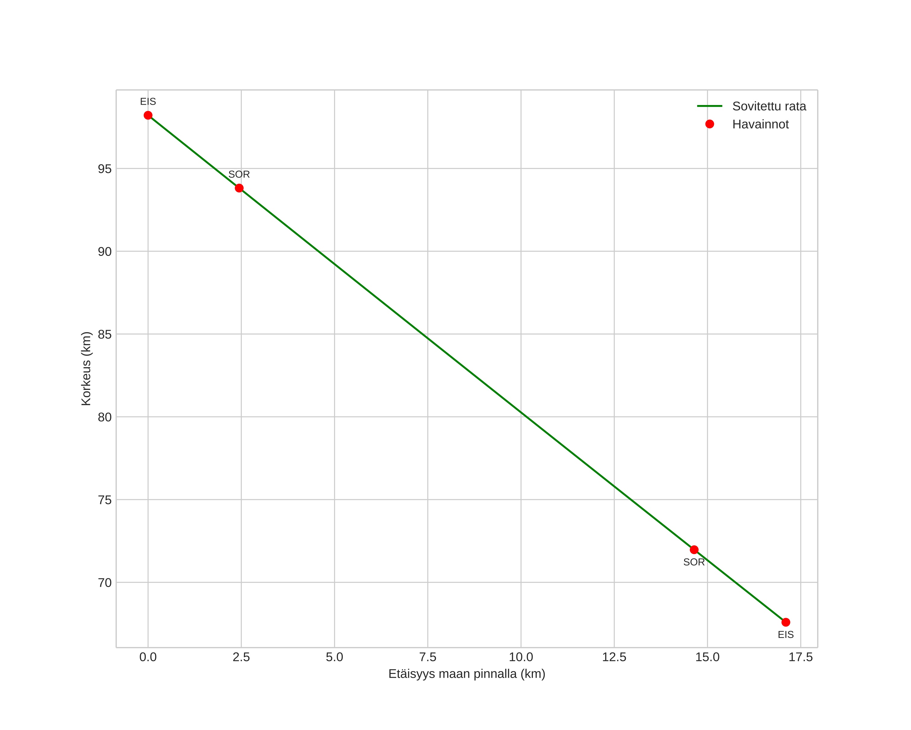
height profile
Meteorin ilmakehärata:
Alkukorkeus: 97,9 km
Loppukorkeus: 68,6 km
Alkupiste: 70,853N 17,438E
Loppupiste: 70,730N 17,585E
Suunta: 158,5°
Kallistuskulma: 63,4°
Tulonopeus: 35,1 km/s
Radiantin R,A,: 15:00 (225,2°)
Radiantin Dekl,: 78,2°
Meteoriparvi: Ursidit
Meteoroidin rataelementit:
Perihelietäisyys: 0,940 AU
Eksentrisyys: 0,936
Inklinaatio: 51,4°
Nousevan solmun pituus: 270,2°
Perihelin argumentti: 204,9°
Keskianomalia: 359,7°
Epookki: 2023 DEC 22 15:57:33
orbit plot

Ei-interaktiivinen kuvaaja | Interaktiivinen kuvaaja

position vs time
speed and acceleration