🇳🇴 🇬🇧 🇩🇪 🇨🇿 🇫🇮

Meteor, poloha: Ramberg 2023-12-22 18:16:25 UTC

Soubor KML  |  InteraktivnĂ­ mapa

Mapa zobrazuje dráhy meteoru. Světlejší čáry ukazují směry od pozorovacích stanic při objevení se meteoru a tmavší čáry, kde byl naposledy viděn. Modrá šipka značí viditelnou dráhu meteoru.

static map
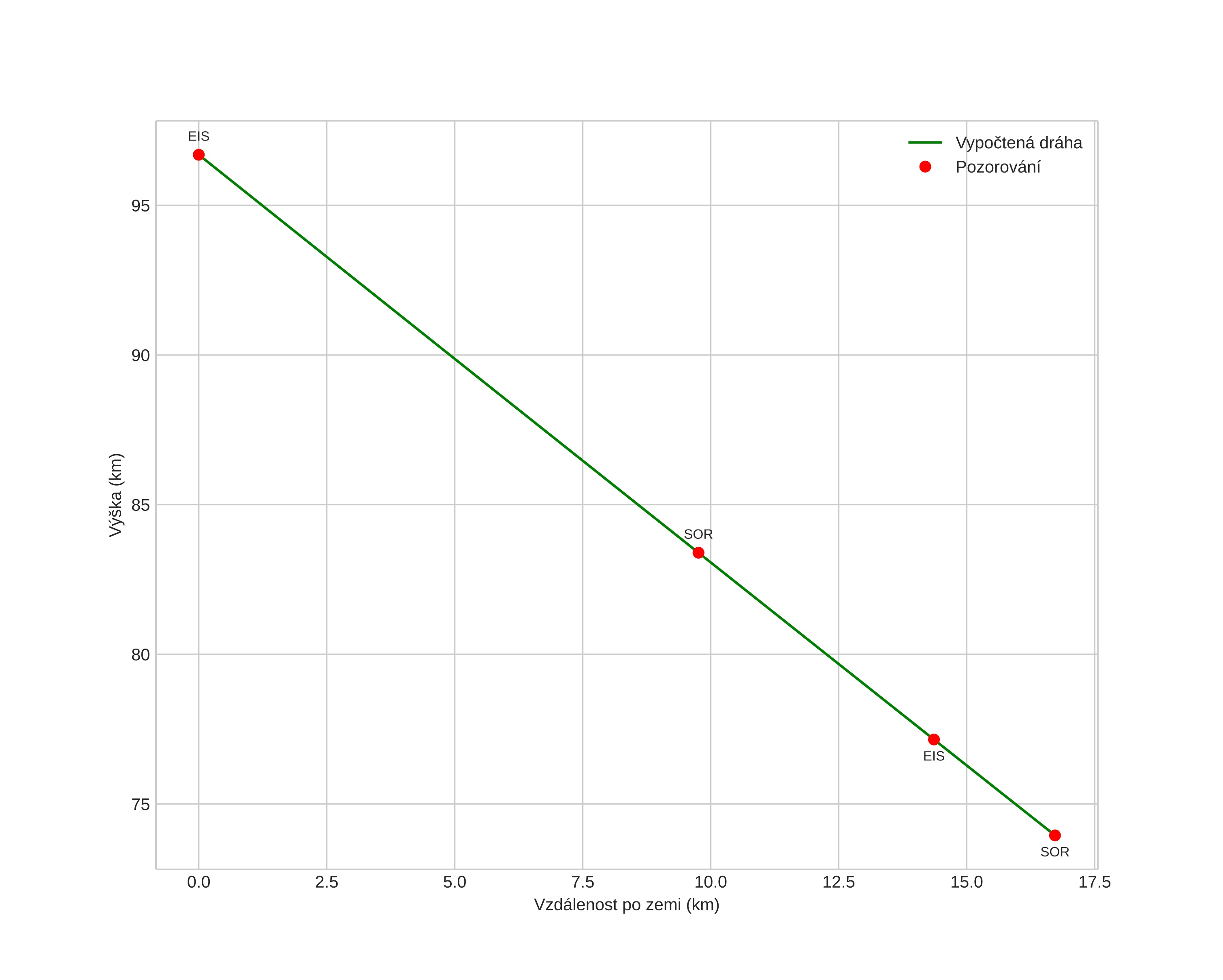
height profile
Atmosférická dráha meteoru:
Počáteční výška: 107,1 km
Konečná výška: 65,3 km
Počáteční poloha: 69,643N 12,744E
Konečná poloha: 69,391N 12,739E
Směr: 180,4°
Sklon: 56,2°
VstupnĂ­ rychlost: 35,2 km/s
Rektascenze radiantu: 13:11 (198,0°)
Deklinace radiantu: 75,8°
MeteorickĂ˝ roj: Ursidy
Elementy dráhy meteoroidu:
Vzdálenost v periheliu: 0,900 AU
Excentricita: 0,757
Sklon dráhy: 53,7°
Délka vzestupného uzlu: 270,3°
Argument perihelia: 216,7°
Střední anomálie: 356,5°
Epocha: 2023 DEC 22 18:16:25
orbit plot

NeinteraktivnĂ­ graf | InteraktivnĂ­ graf

position vs time
speed and acceleration