🇳🇴 🇬🇧 🇩🇪 🇨🇿 🇫🇮

Meteor Rambergin yllä 2023-12-22 18:16:25 UTC

KML-tiedosto  |  Interaktiivinen kartta

Kartta näyttää meteorin suuntahavainnot. Vaaleammat viivat näyttävät suunnat havaintoasemilta meteorin ilmestyessä, ja tummemmat viivat näyttävät, missä se viimeksi nähtiin. Sininen nuoli näyttää meteorin näkyvän lennon.

static map
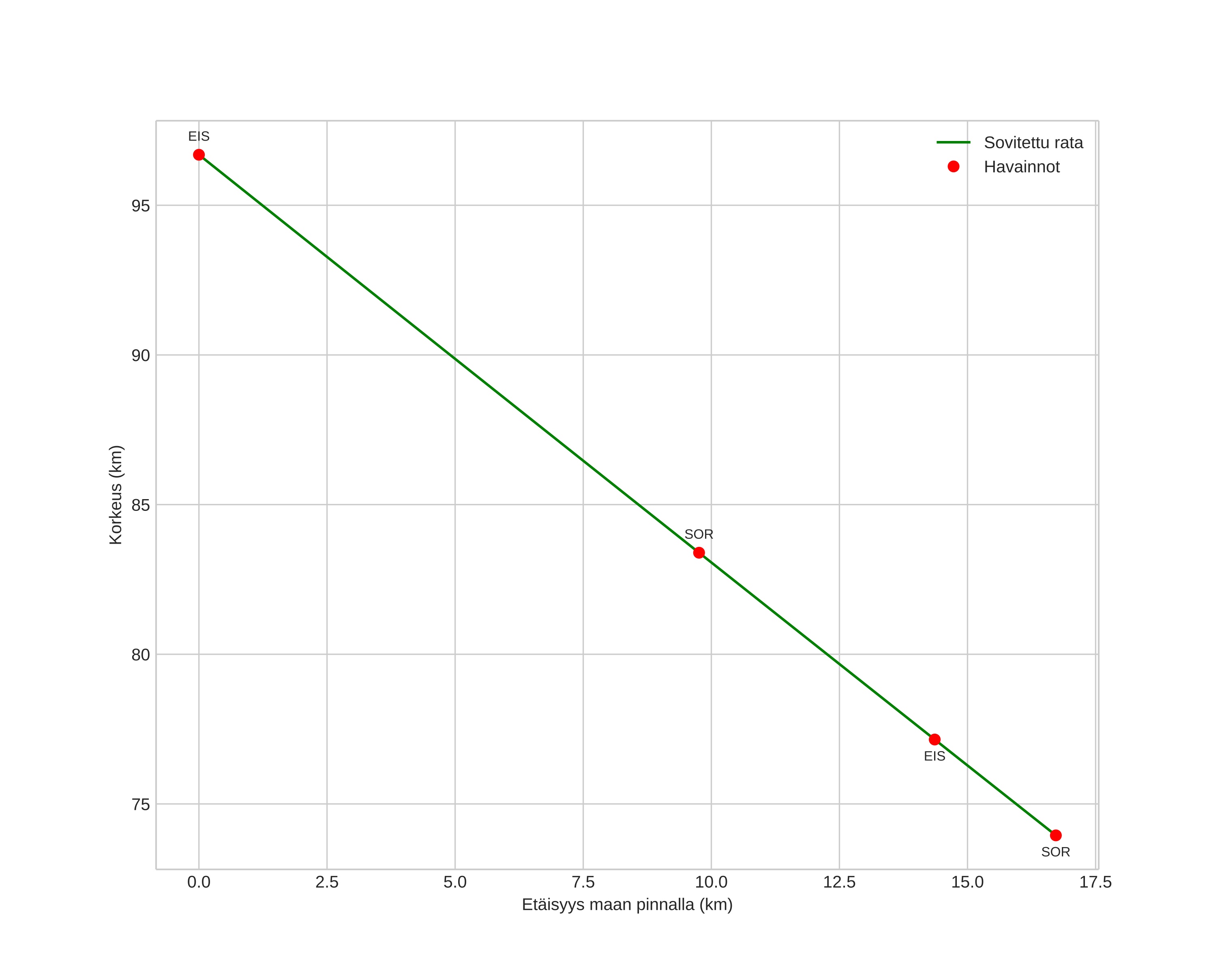
height profile
Meteorin ilmakehärata:
Alkukorkeus: 107,1 km
Loppukorkeus: 65,3 km
Alkupiste: 69,643N 12,744E
Loppupiste: 69,391N 12,739E
Suunta: 180,4°
Kallistuskulma: 56,2°
Tulonopeus: 35,2 km/s
Radiantin R,A,: 13:11 (198,0°)
Radiantin Dekl,: 75,8°
Meteoriparvi: Ursidit
Meteoroidin rataelementit:
Perihelietäisyys: 0,900 AU
Eksentrisyys: 0,757
Inklinaatio: 53,7°
Nousevan solmun pituus: 270,3°
Perihelin argumentti: 216,7°
Keskianomalia: 356,5°
Epookki: 2023 DEC 22 18:16:25
orbit plot

Ei-interaktiivinen kuvaaja | Interaktiivinen kuvaaja

position vs time
speed and acceleration