🇳🇴 🇬🇧 🇩🇪 🇨🇿 🇫🇮

Meteor, poloha: Brovst 2023-12-22 18:36:20 UTC

Soubor KML  |  InteraktivnĂ­ mapa

Mapa zobrazuje dráhy meteoru. Světlejší čáry ukazují směry od pozorovacích stanic při objevení se meteoru a tmavší čáry, kde byl naposledy viděn. Modrá šipka značí viditelnou dráhu meteoru.

static map
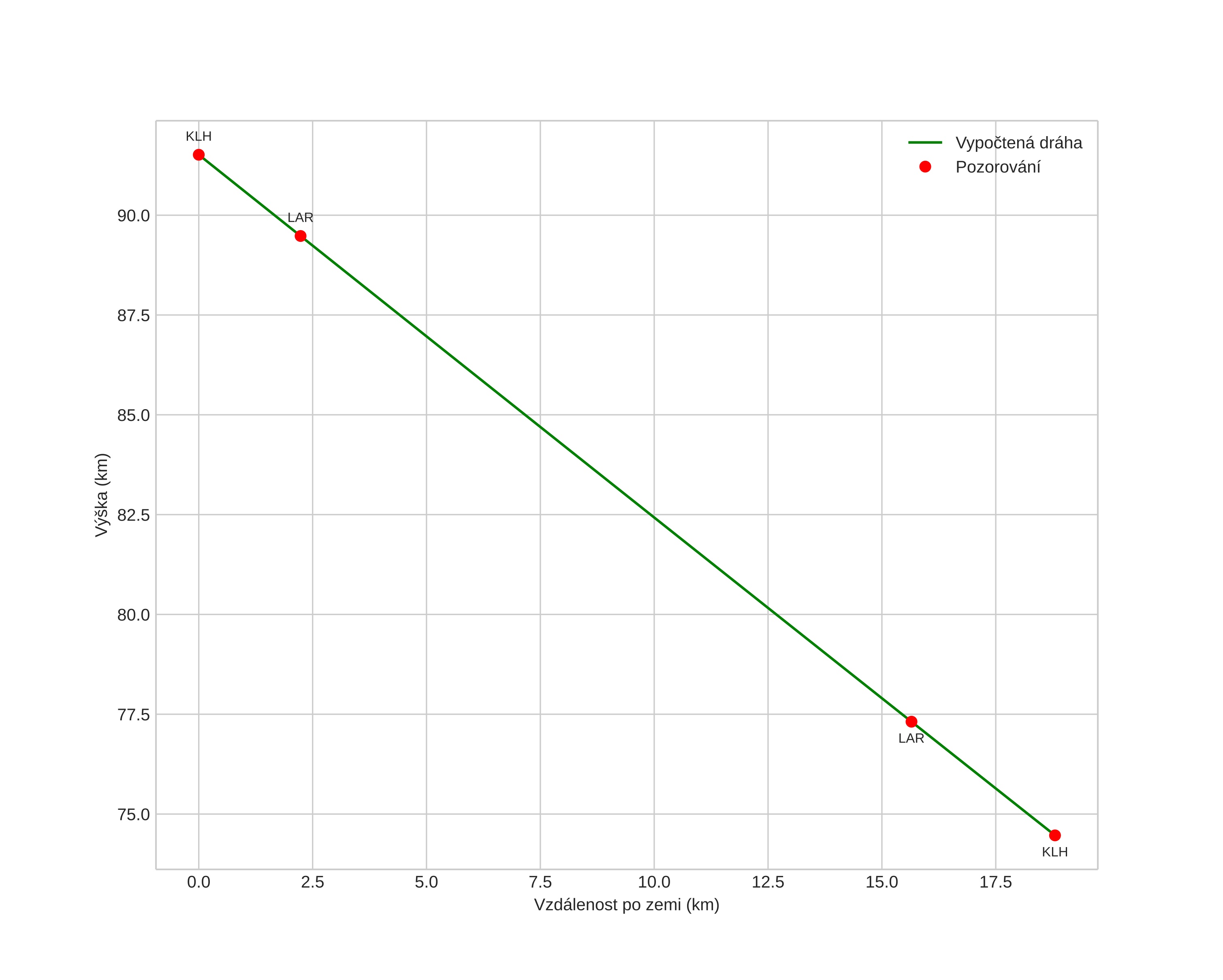
height profile
Atmosférická dráha meteoru:
Počáteční výška: 91,3 km
Konečná výška: 73,7 km
Počáteční poloha: 57,273N 9,537E
Konečná poloha: 57,106N 9,566E
Směr: 174,5°
Sklon: 43,3°
VstupnĂ­ rychlost: 36,4 km/s
Rektascenze radiantu: 14:25 (216,3°)
Deklinace radiantu: 74,5°
MeteorickĂ˝ roj: Ursidy
Elementy dráhy meteoroidu:
Vzdálenost v periheliu: 0,939 AU
Excentricita: 0,859
Sklon dráhy: 55,2°
Délka vzestupného uzlu: 270,3°
Argument perihelia: 205,7°
Střední anomálie: 359,0°
Epocha: 2023 DEC 22 18:36:20
orbit plot

NeinteraktivnĂ­ graf | InteraktivnĂ­ graf

position vs time
speed and acceleration