🇳🇴 🇬🇧 🇩🇪 🇨🇿 🇫🇮

Meteor Brovstin yllä 2023-12-22 18:36:20 UTC

KML-tiedosto  |  Interaktiivinen kartta

Kartta näyttää meteorin suuntahavainnot. Vaaleammat viivat näyttävät suunnat havaintoasemilta meteorin ilmestyessä, ja tummemmat viivat näyttävät, missä se viimeksi nähtiin. Sininen nuoli näyttää meteorin näkyvän lennon.

static map
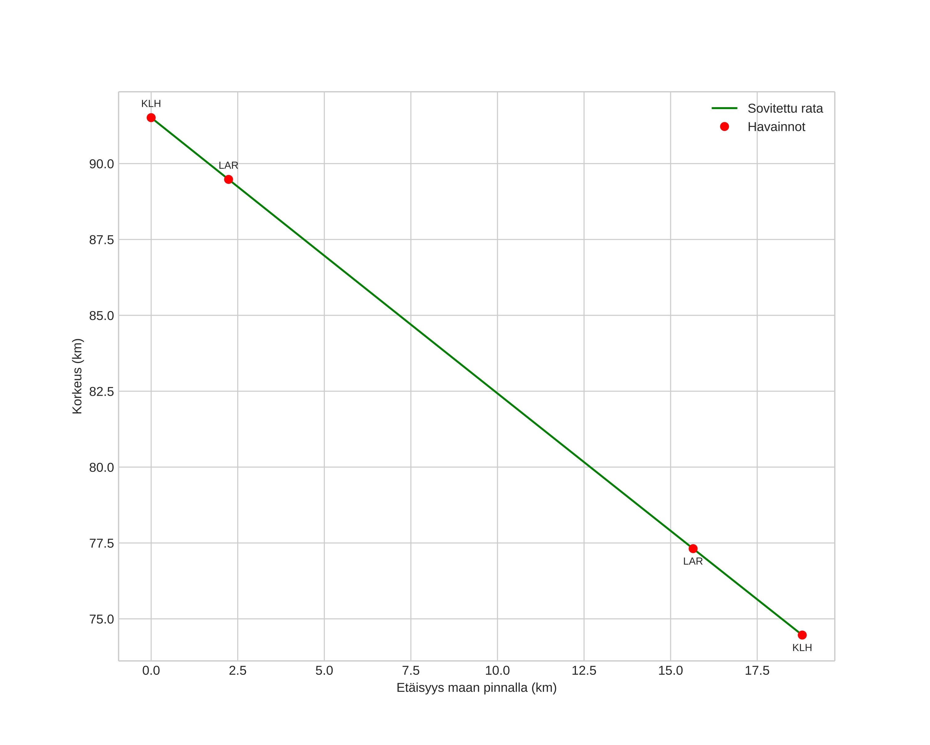
height profile
Meteorin ilmakehärata:
Alkukorkeus: 91,3 km
Loppukorkeus: 73,7 km
Alkupiste: 57,273N 9,537E
Loppupiste: 57,106N 9,566E
Suunta: 174,5°
Kallistuskulma: 43,3°
Tulonopeus: 36,4 km/s
Radiantin R,A,: 14:25 (216,3°)
Radiantin Dekl,: 74,5°
Meteoriparvi: Ursidit
Meteoroidin rataelementit:
Perihelietäisyys: 0,939 AU
Eksentrisyys: 0,859
Inklinaatio: 55,2°
Nousevan solmun pituus: 270,3°
Perihelin argumentti: 205,7°
Keskianomalia: 359,0°
Epookki: 2023 DEC 22 18:36:20
orbit plot

Ei-interaktiivinen kuvaaja | Interaktiivinen kuvaaja

position vs time
speed and acceleration