🇳🇴 🇬🇧 🇩🇪 🇨🇿 🇫🇮

Meteor, poloha: Dokka 2023-12-22 18:55:03 UTC

Soubor KML  |  InteraktivnĂ­ mapa

Mapa zobrazuje dráhy meteoru. Světlejší čáry ukazují směry od pozorovacích stanic při objevení se meteoru a tmavší čáry, kde byl naposledy viděn. Modrá šipka značí viditelnou dráhu meteoru.

static map
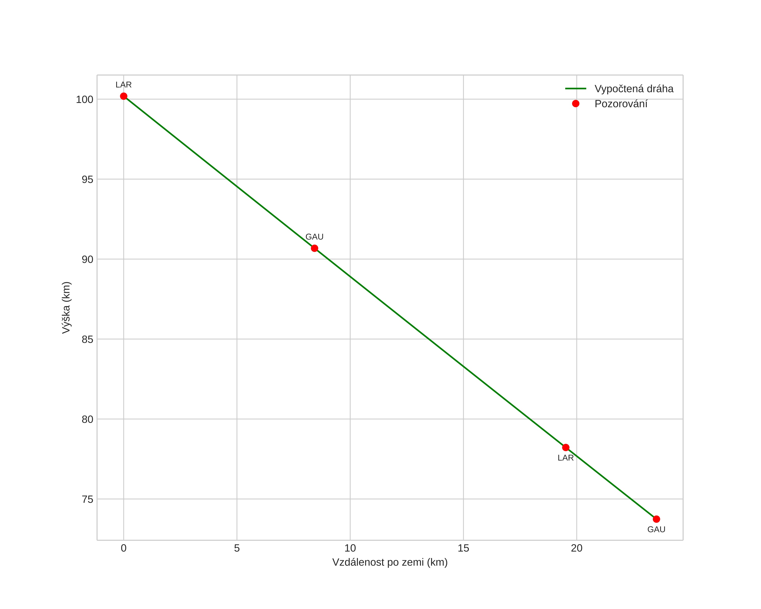
height profile
Atmosférická dráha meteoru:
Počáteční výška: 100,9 km
Konečná výška: 73,6 km
Počáteční poloha: 61,117N 9,838E
Konečná poloha: 60,905N 9,870E
Směr: 175,8°
Sklon: 49,1°
VstupnĂ­ rychlost: 34,8 km/s
Rektascenze radiantu: 14:34 (218,6°)
Deklinace radiantu: 76,8°
MeteorickĂ˝ roj: Ursidy
Elementy dráhy meteoroidu:
Vzdálenost v periheliu: 0,935 AU
Excentricita: 0,842
Sklon dráhy: 52,1°
Délka vzestupného uzlu: 270,3°
Argument perihelia: 206,8°
Střední anomálie: 358,7°
Epocha: 2023 DEC 22 18:55:03
orbit plot

NeinteraktivnĂ­ graf | InteraktivnĂ­ graf

position vs time
speed and acceleration