🇳🇴 🇬🇧 🇩🇪 🇨🇿 🇫🇮

Meteor Dokkan yllä 2023-12-22 18:55:03 UTC

KML-tiedosto  |  Interaktiivinen kartta

Kartta näyttää meteorin suuntahavainnot. Vaaleammat viivat näyttävät suunnat havaintoasemilta meteorin ilmestyessä, ja tummemmat viivat näyttävät, missä se viimeksi nähtiin. Sininen nuoli näyttää meteorin näkyvän lennon.

static map
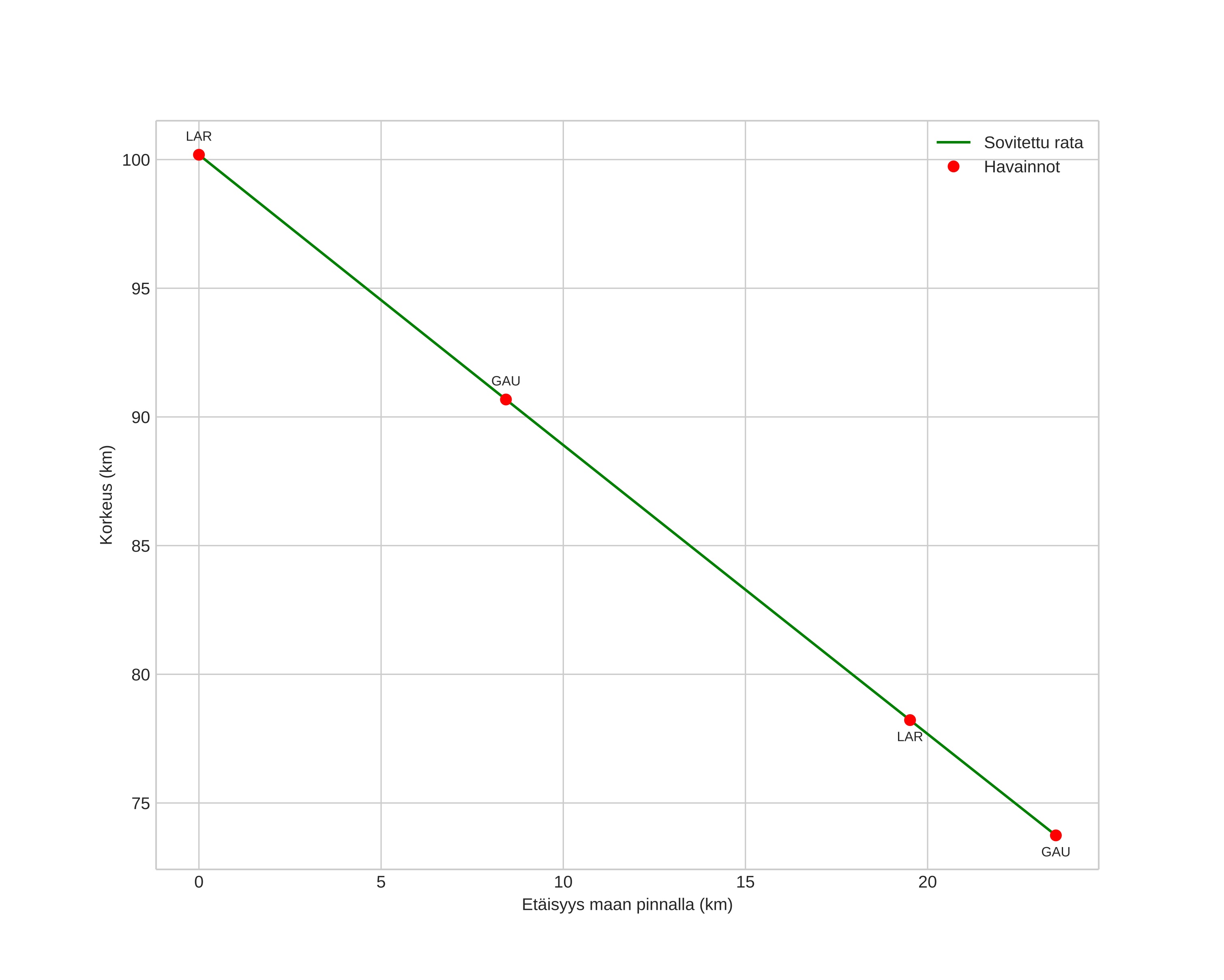
height profile
Meteorin ilmakehärata:
Alkukorkeus: 100,9 km
Loppukorkeus: 73,6 km
Alkupiste: 61,117N 9,838E
Loppupiste: 60,905N 9,870E
Suunta: 175,8°
Kallistuskulma: 49,1°
Tulonopeus: 34,8 km/s
Radiantin R,A,: 14:34 (218,6°)
Radiantin Dekl,: 76,8°
Meteoriparvi: Ursidit
Meteoroidin rataelementit:
Perihelietäisyys: 0,935 AU
Eksentrisyys: 0,842
Inklinaatio: 52,1°
Nousevan solmun pituus: 270,3°
Perihelin argumentti: 206,8°
Keskianomalia: 358,7°
Epookki: 2023 DEC 22 18:55:03
orbit plot

Ei-interaktiivinen kuvaaja | Interaktiivinen kuvaaja

position vs time
speed and acceleration