🇳🇴 🇬🇧 🇩🇪 🇨🇿 🇫🇮

Meteor, poloha: FlĂĄ 2023-12-22 21:20:20 UTC

Soubor KML  |  InteraktivnĂ­ mapa

Mapa zobrazuje dráhy meteoru. Světlejší čáry ukazují směry od pozorovacích stanic při objevení se meteoru a tmavší čáry, kde byl naposledy viděn. Modrá šipka značí viditelnou dráhu meteoru.

static map
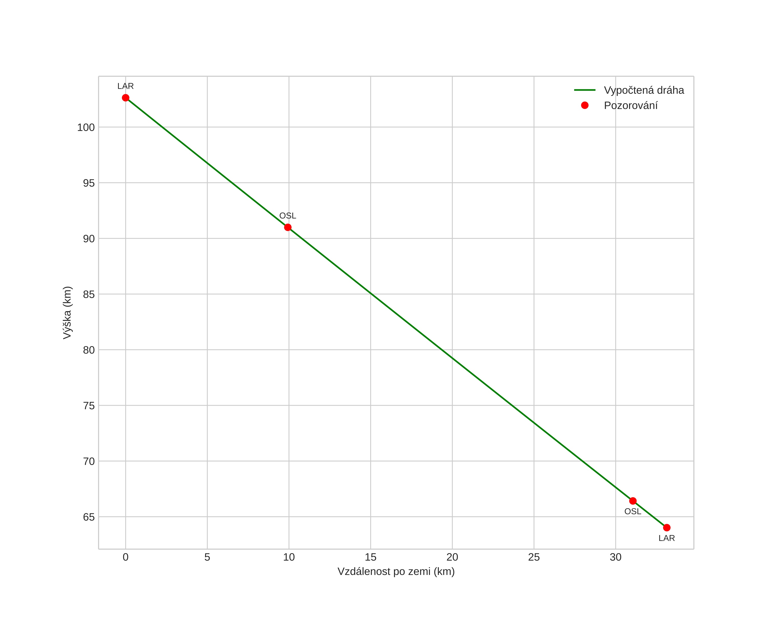
height profile
Atmosférická dráha meteoru:
Počáteční výška: 103,8 km
Konečná výška: 61,7 km
Počáteční poloha: 60,829N 9,499E
Konečná poloha: 60,505N 9,408E
Směr: 188,0°
Sklon: 49,2°
VstupnĂ­ rychlost: 35,4 km/s
Rektascenze radiantu: 14:34 (218,7°)
Deklinace radiantu: 76,8°
MeteorickĂ˝ roj: Ursidy
Elementy dráhy meteoroidu:
Vzdálenost v periheliu: 0,936 AU
Excentricita: 0,877
Sklon dráhy: 52,6°
Délka vzestupného uzlu: 270,4°
Argument perihelia: 206,4°
Střední anomálie: 359,1°
Epocha: 2023 DEC 22 21:20:20
orbit plot

NeinteraktivnĂ­ graf | InteraktivnĂ­ graf

position vs time
speed and acceleration