🇳🇴 🇬🇧 🇩🇪 🇨🇿 🇫🇮

Meteor Flåin yllä 2023-12-22 21:20:20 UTC

KML-tiedosto  |  Interaktiivinen kartta

Kartta näyttää meteorin suuntahavainnot. Vaaleammat viivat näyttävät suunnat havaintoasemilta meteorin ilmestyessä, ja tummemmat viivat näyttävät, missä se viimeksi nähtiin. Sininen nuoli näyttää meteorin näkyvän lennon.

static map
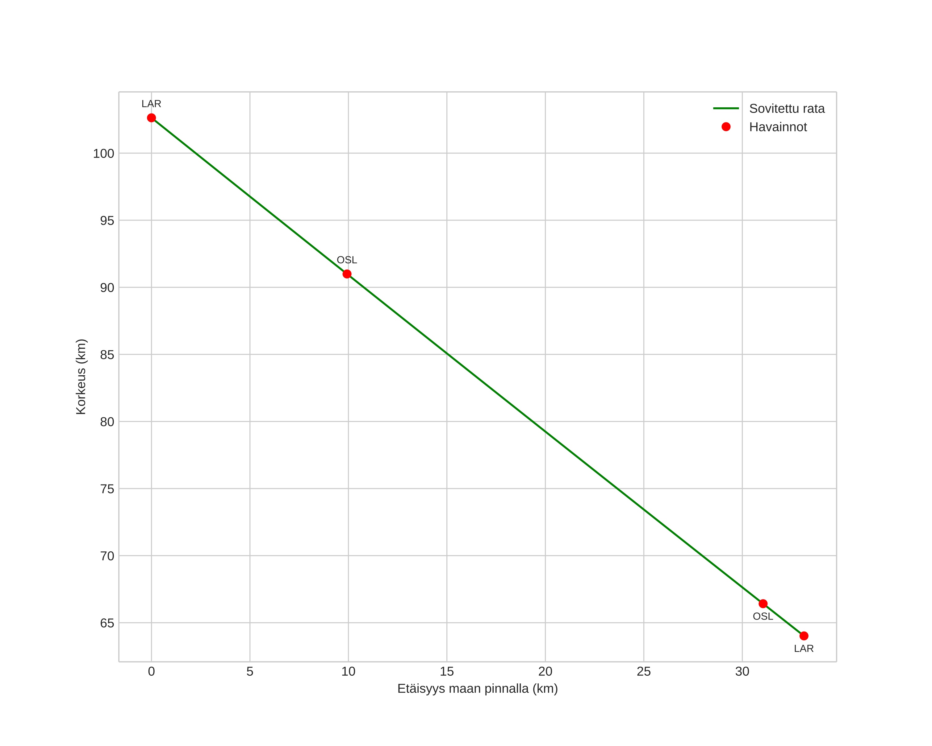
height profile
Meteorin ilmakehärata:
Alkukorkeus: 103,8 km
Loppukorkeus: 61,7 km
Alkupiste: 60,829N 9,499E
Loppupiste: 60,505N 9,408E
Suunta: 188,0°
Kallistuskulma: 49,2°
Tulonopeus: 35,4 km/s
Radiantin R,A,: 14:34 (218,7°)
Radiantin Dekl,: 76,8°
Meteoriparvi: Ursidit
Meteoroidin rataelementit:
Perihelietäisyys: 0,936 AU
Eksentrisyys: 0,877
Inklinaatio: 52,6°
Nousevan solmun pituus: 270,4°
Perihelin argumentti: 206,4°
Keskianomalia: 359,1°
Epookki: 2023 DEC 22 21:20:20
orbit plot

Ei-interaktiivinen kuvaaja | Interaktiivinen kuvaaja

position vs time
speed and acceleration