🇳🇴 🇬🇧 🇩🇪 🇨🇿 🇫🇮

Meteor, poloha: Brøstadbotn 2023-12-28 18:19:55 UTC

Soubor KML  |  InteraktivnĂ­ mapa

Mapa zobrazuje dráhy meteoru. Světlejší čáry ukazují směry od pozorovacích stanic při objevení se meteoru a tmavší čáry, kde byl naposledy viděn. Modrá šipka značí viditelnou dráhu meteoru.

static map
height profile
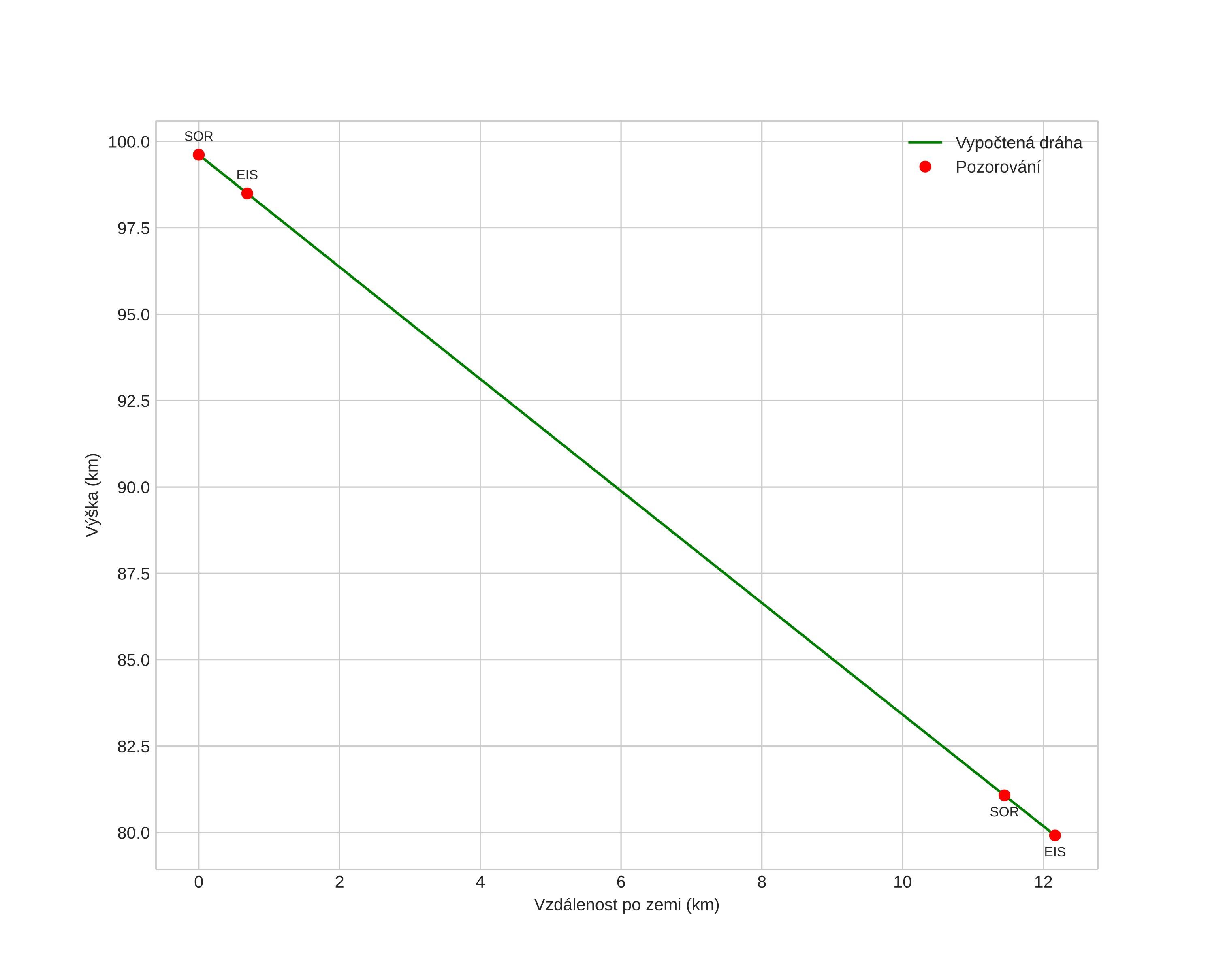
Atmosférická dráha meteoru:
Počáteční výška: 99,7 km
Konečná výška: 80,5 km
Počáteční poloha: 70,093N 17,106E
Konečná poloha: 69,985N 17,145E
Směr: 172,8°
Sklon: 57,9°
VstupnĂ­ rychlost: 33,1 km/s
Rektascenze radiantu: 15:09 (227,3°)
Deklinace radiantu: 76,6°
MeteorickĂ˝ roj: sporadickĂ˝
Elementy dráhy meteoroidu:
Vzdálenost v periheliu: 0,944 AU
Excentricita: 0,828
Sklon dráhy: 48,8°
Délka vzestupného uzlu: 276,4°
Argument perihelia: 204,4°
Střední anomálie: 358,7°
Epocha: 2023 DEC 28 18:19:55
orbit plot

NeinteraktivnĂ­ graf | InteraktivnĂ­ graf

position vs time
speed and acceleration