🇳🇴 🇬🇧 🇩🇪 🇨🇿 🇫🇮

Meteor Brøstadbotnin yllä 2023-12-28 18:19:55 UTC

KML-tiedosto  |  Interaktiivinen kartta

Kartta näyttää meteorin suuntahavainnot. Vaaleammat viivat näyttävät suunnat havaintoasemilta meteorin ilmestyessä, ja tummemmat viivat näyttävät, missä se viimeksi nähtiin. Sininen nuoli näyttää meteorin näkyvän lennon.

static map
height profile
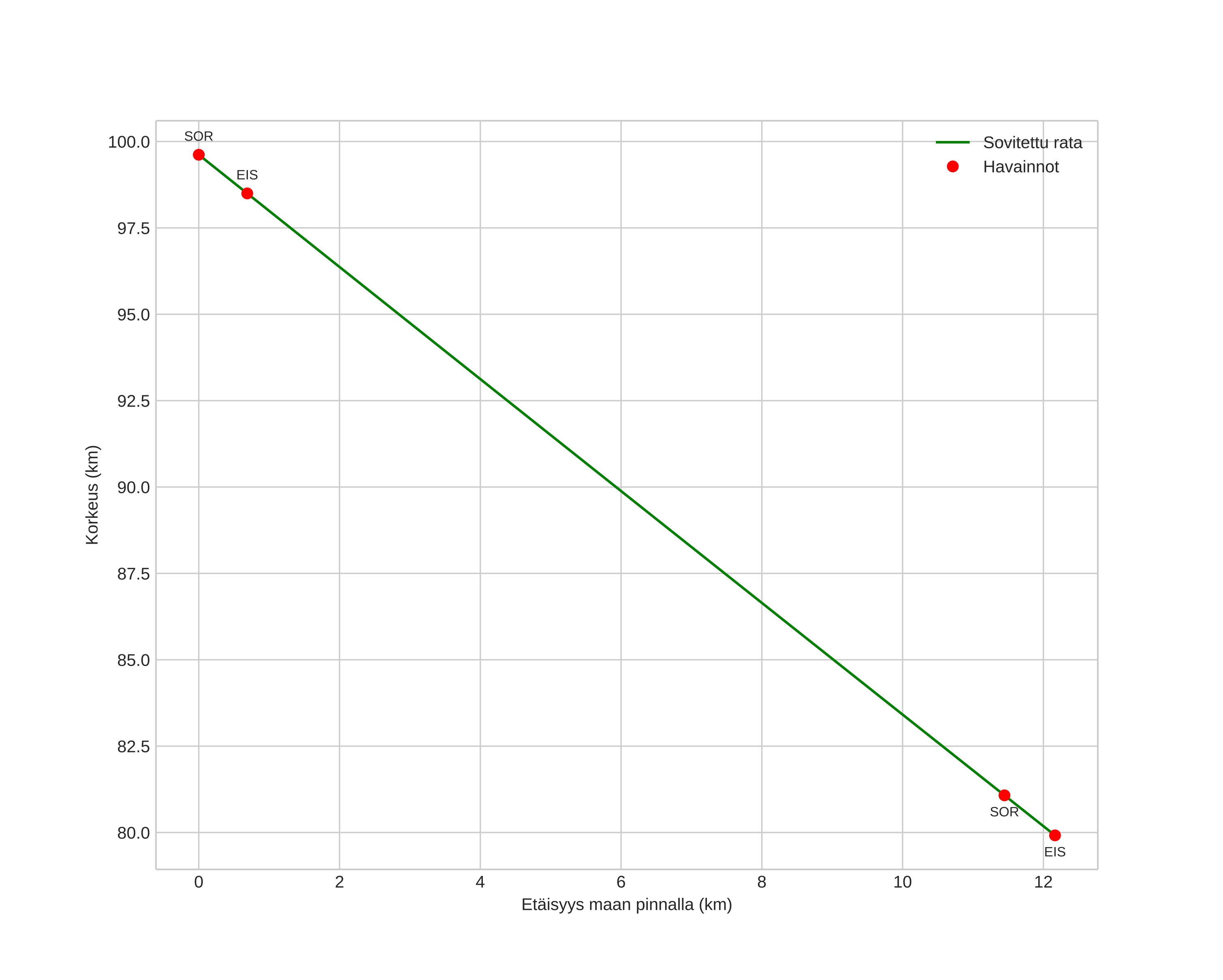
Meteorin ilmakehärata:
Alkukorkeus: 99,7 km
Loppukorkeus: 80,5 km
Alkupiste: 70,093N 17,106E
Loppupiste: 69,985N 17,145E
Suunta: 172,8°
Kallistuskulma: 57,9°
Tulonopeus: 33,1 km/s
Radiantin R,A,: 15:09 (227,3°)
Radiantin Dekl,: 76,6°
Meteoriparvi: Sporadinen
Meteoroidin rataelementit:
Perihelietäisyys: 0,944 AU
Eksentrisyys: 0,828
Inklinaatio: 48,8°
Nousevan solmun pituus: 276,4°
Perihelin argumentti: 204,4°
Keskianomalia: 358,7°
Epookki: 2023 DEC 28 18:19:55
orbit plot

Ei-interaktiivinen kuvaaja | Interaktiivinen kuvaaja

position vs time
speed and acceleration