🇳🇴 🇬🇧 🇩🇪 🇨🇿 🇫🇮

Meteor, poloha: Olderdalen 2023-12-28 23:42:37 UTC

Soubor KML  |  InteraktivnĂ­ mapa

Mapa zobrazuje dráhy meteoru. Světlejší čáry ukazují směry od pozorovacích stanic při objevení se meteoru a tmavší čáry, kde byl naposledy viděn. Modrá šipka značí viditelnou dráhu meteoru.

static map
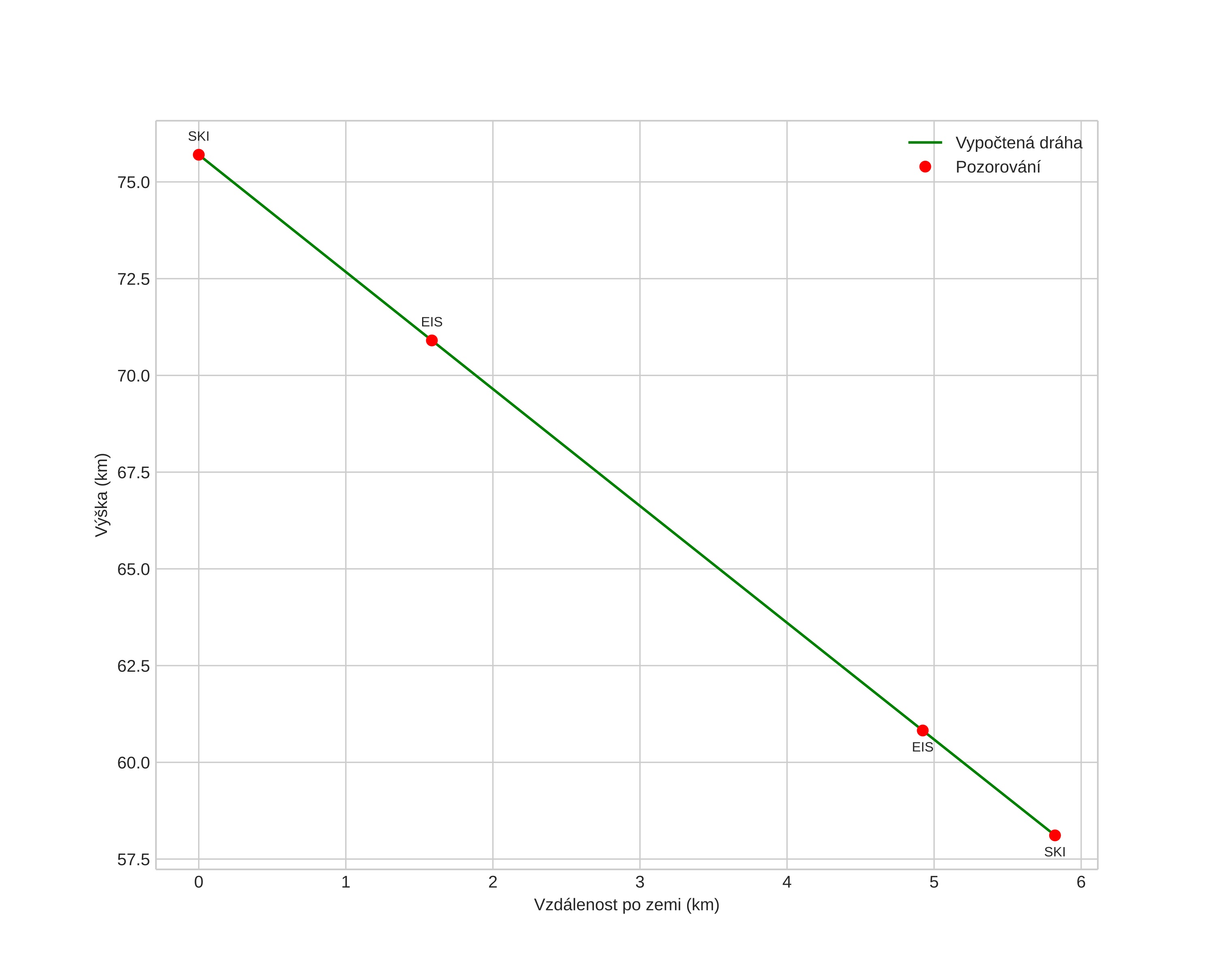
height profile
Atmosférická dráha meteoru:
Počáteční výška: 77,4 km
Konečná výška: 58,0 km
Počáteční poloha: 69,017N 20,823E
Konečná poloha: 68,992N 20,931E
Směr: 123,4°
Sklon: 75,2°
VstupnĂ­ rychlost: 16,7 km/s
Rektascenze radiantu: 04:01 (60,3°)
Deklinace radiantu: 71,3°
MeteorickĂ˝ roj: sporadickĂ˝
Elementy dráhy meteoroidu:
Vzdálenost v periheliu: 0,905 AU
Excentricita: 0,435
Sklon dráhy: 16,0°
Délka vzestupného uzlu: 276,6°
Argument perihelia: 222,7°
Střední anomálie: 344,0°
Epocha: 2023 DEC 28 23:42:37
orbit plot

NeinteraktivnĂ­ graf | InteraktivnĂ­ graf

position vs time
speed and acceleration