🇳🇴 🇬🇧 🇩🇪 🇨🇿 🇫🇮

Meteor Olderdalenin yllä 2023-12-28 23:42:37 UTC

KML-tiedosto  |  Interaktiivinen kartta

Kartta näyttää meteorin suuntahavainnot. Vaaleammat viivat näyttävät suunnat havaintoasemilta meteorin ilmestyessä, ja tummemmat viivat näyttävät, missä se viimeksi nähtiin. Sininen nuoli näyttää meteorin näkyvän lennon.

static map
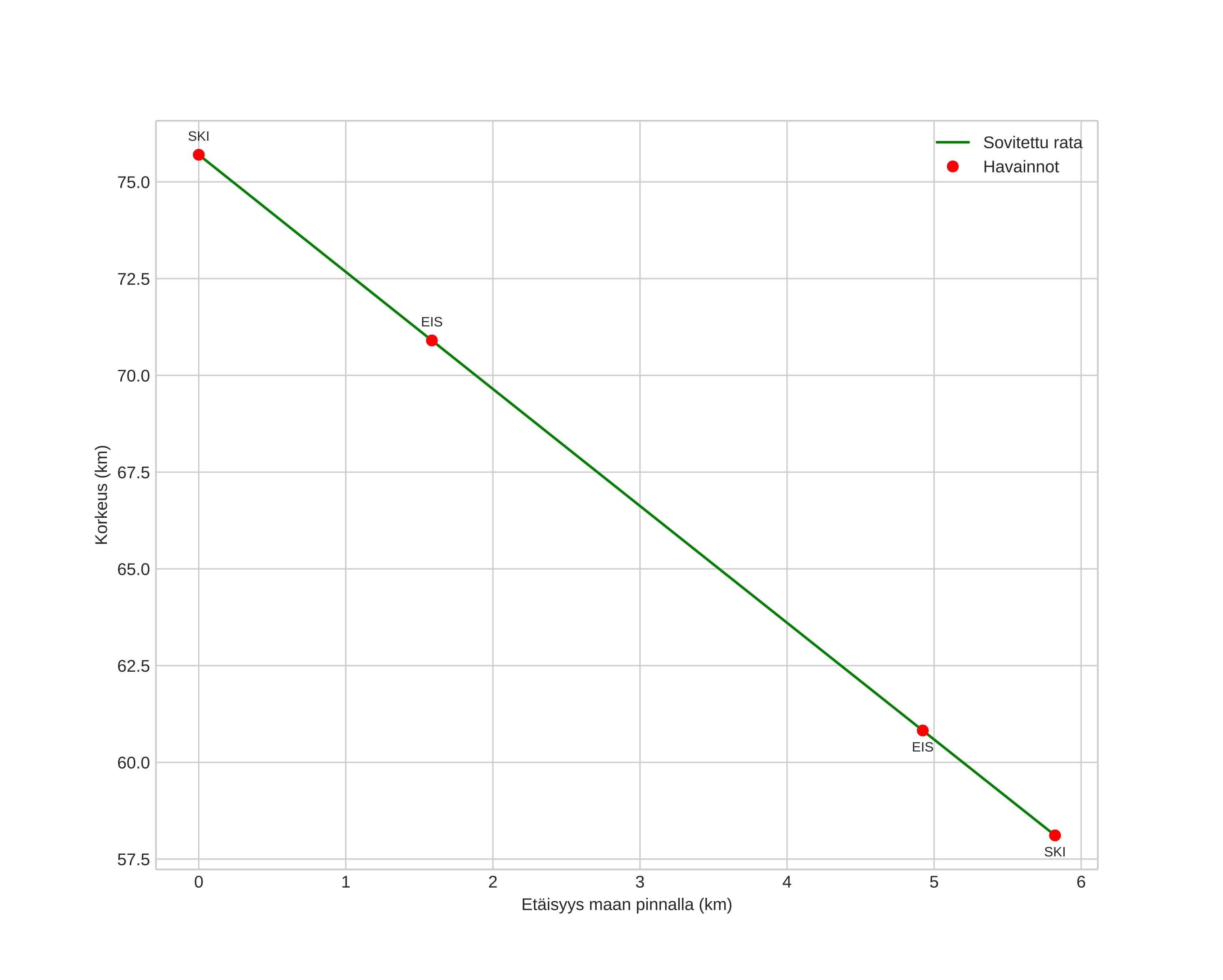
height profile
Meteorin ilmakehärata:
Alkukorkeus: 77,4 km
Loppukorkeus: 58,0 km
Alkupiste: 69,017N 20,823E
Loppupiste: 68,992N 20,931E
Suunta: 123,4°
Kallistuskulma: 75,2°
Tulonopeus: 16,7 km/s
Radiantin R,A,: 04:01 (60,3°)
Radiantin Dekl,: 71,3°
Meteoriparvi: Sporadinen
Meteoroidin rataelementit:
Perihelietäisyys: 0,905 AU
Eksentrisyys: 0,435
Inklinaatio: 16,0°
Nousevan solmun pituus: 276,6°
Perihelin argumentti: 222,7°
Keskianomalia: 344,0°
Epookki: 2023 DEC 28 23:42:37
orbit plot

Ei-interaktiivinen kuvaaja | Interaktiivinen kuvaaja

position vs time
speed and acceleration