🇳🇴 🇬🇧 🇩🇪 🇨🇿 🇫🇮

Meteor, poloha: Storslett 2023-12-29 23:57:09 UTC

Soubor KML  |  InteraktivnĂ­ mapa

Mapa zobrazuje dráhy meteoru. Světlejší čáry ukazují směry od pozorovacích stanic při objevení se meteoru a tmavší čáry, kde byl naposledy viděn. Modrá šipka značí viditelnou dráhu meteoru.

static map
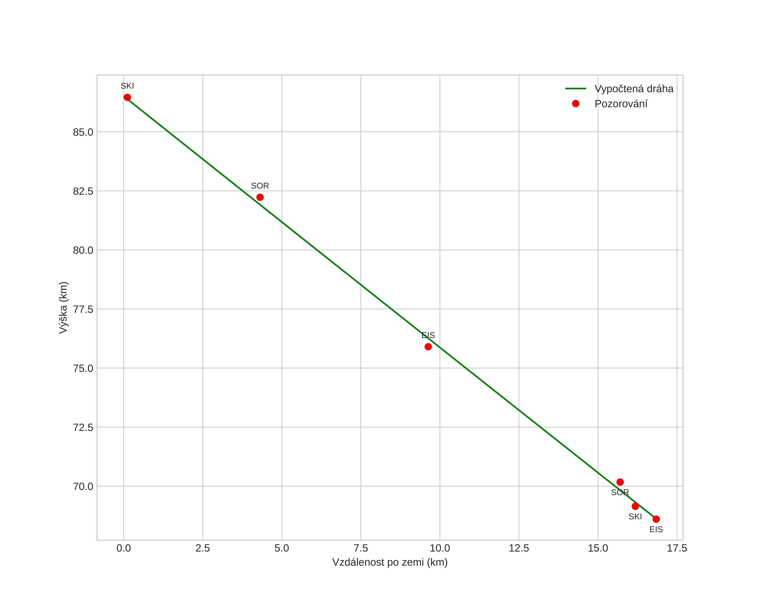
height profile
Atmosférická dráha meteoru:
Počáteční výška: 85,9 km
Konečná výška: 69,1 km
Počáteční poloha: 69,070N 20,803E
Konečná poloha: 69,199N 21,032E
Směr: 32,2°
Sklon: 44,7°
VstupnĂ­ rychlost: 23,7 km/s
Rektascenze radiantu: 06:07 (91,8°)
Deklinace radiantu: 23,3°
MeteorickĂ˝ roj: sporadickĂ˝
Elementy dráhy meteoroidu:
Vzdálenost v periheliu: 0,649 AU
Excentricita: 0,772
Sklon dráhy: 0,1°
Délka vzestupného uzlu: 99,6°
Argument perihelia: 75,4°
Střední anomálie: 351,4°
Epocha: 2023 DEC 29 23:57:09
orbit plot

NeinteraktivnĂ­ graf | InteraktivnĂ­ graf

position vs time
speed and acceleration