🇳🇴 🇬🇧 🇩🇪 🇨🇿 🇫🇮

Meteor Storslettin yllä 2023-12-29 23:57:09 UTC

KML-tiedosto  |  Interaktiivinen kartta

Kartta näyttää meteorin suuntahavainnot. Vaaleammat viivat näyttävät suunnat havaintoasemilta meteorin ilmestyessä, ja tummemmat viivat näyttävät, missä se viimeksi nähtiin. Sininen nuoli näyttää meteorin näkyvän lennon.

static map
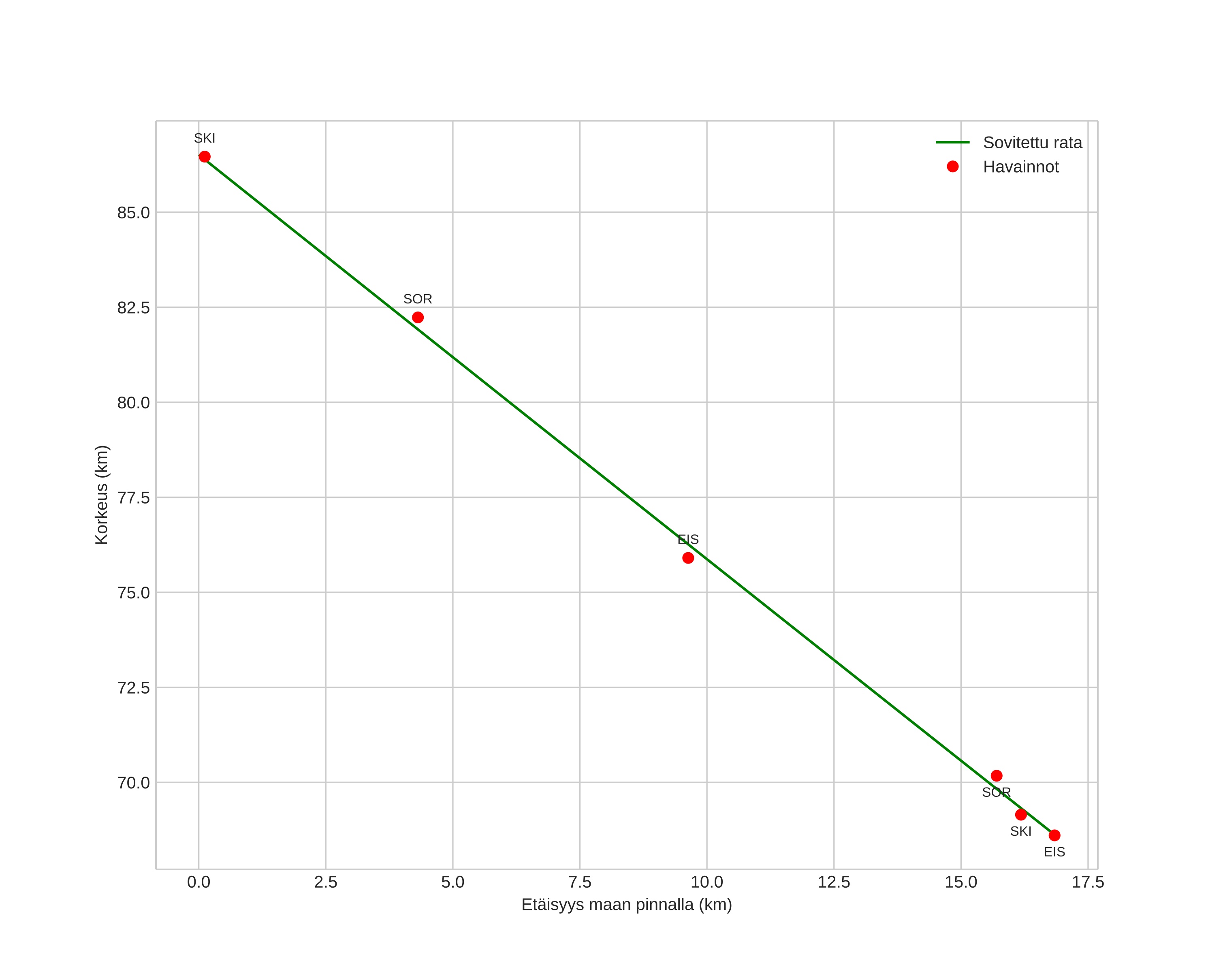
height profile
Meteorin ilmakehärata:
Alkukorkeus: 85,9 km
Loppukorkeus: 69,1 km
Alkupiste: 69,070N 20,803E
Loppupiste: 69,199N 21,032E
Suunta: 32,2°
Kallistuskulma: 44,7°
Tulonopeus: 23,7 km/s
Radiantin R,A,: 06:07 (91,8°)
Radiantin Dekl,: 23,3°
Meteoriparvi: Sporadinen
Meteoroidin rataelementit:
Perihelietäisyys: 0,649 AU
Eksentrisyys: 0,772
Inklinaatio: 0,1°
Nousevan solmun pituus: 99,6°
Perihelin argumentti: 75,4°
Keskianomalia: 351,4°
Epookki: 2023 DEC 29 23:57:09
orbit plot

Ei-interaktiivinen kuvaaja | Interaktiivinen kuvaaja

position vs time
speed and acceleration