🇳🇴 🇬🇧 🇩🇪 🇨🇿 🇫🇮

Meteor, poloha: Sorsele 2023-12-30 18:25:38 UTC

Eiscat – 1
Eiscat – 1
Sørreisa – 1
Sørreisa – 1

Soubor KML  | Interaktivní mapa

map

Mapa zobrazuje dráhy meteoru. Světlejší čáry ukazují směry od pozorovacích stanic při objevení se meteoru a tmavší čáry, kde byl naposledy viděn. Modrá šipka značí viditelnou dráhu meteoru.

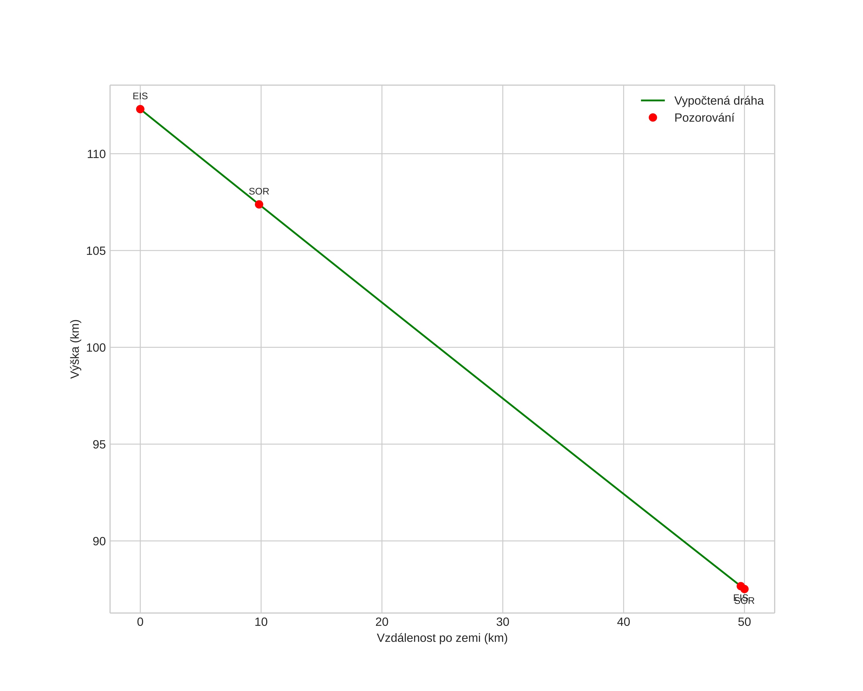
height profile
Atmosférická dráha meteoru:
Počáteční výška: 110,6 km
Konečná výška: 86,0 km
Počáteční poloha: 66,696N 16,979E
Konečná poloha: 66,254N 16,982E
Směr: 179,8°
Sklon: 26,6°
Vstupní rychlost: 51,1 km/s
Rektascenze radiantu: 14:10 (212,6°)
Deklinace radiantu: 49,2°
Meteorický roj: sporadický
Elementy dráhy meteoroidu:
Vzdálenost v periheliu: 0,978 AU
Excentricita: 0,939
Sklon dráhy: 86,0°
Délka vzestupného uzlu: 278,5°
Argument perihelia: 188,5°
Střední anomálie: 359,9°
Epocha: 2023 DEC 30 18:25:38
orbit

Neinteraktivní graf | Interaktivní graf

position vs time
speed & acceleration