🇳🇴 🇬🇧 🇩🇪 🇨🇿 🇫🇮

Meteor über Sorsele 2023-12-30 18:25:38 UTC

Eiscat – 1
Eiscat – 1
Sørreisa – 1
Sørreisa – 1

KML-Datei  | Interaktive Karte

map

Die Karte zeigt die Peilungen für den Meteor. Die helleren Linien zeigen die Richtungen von den Beobachtungsorten beim Erscheinen des Meteors, und die dunkleren Linien, wo er zuletzt gesehen wurde. Der blaue Pfeil zeigt die sichtbare Bahn des Meteors.

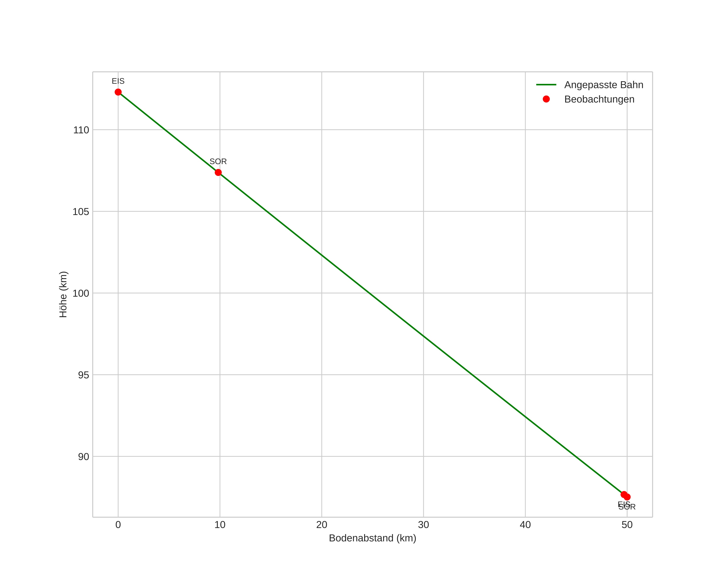
height profile
Atmosphärische Bahn des Meteors:
Anfangshöhe: 110,6 km
Endhöhe: 86,0 km
Startposition: 66,696N 16,979E
Endposition: 66,254N 16,982E
Richtung: 179,8°
Neigungswinkel: 26,6°
Eintrittsgeschwindigkeit: 51,1 km/s
Rektaszension des Radianten: 14:10 (212,6°)
Deklination des Radianten: 49,2°
Meteorstrom: sporadisch
Bahnelemente des Meteoroiden:
Periheldistanz: 0,978 AU
Exzentrizität: 0,939
Inklination: 86,0°
Länge des aufsteigenden Knotens: 278,5°
Argument des Perihels: 188,5°
Mittlere Anomalie: 359,9°
Epoche: 2023 DEC 30 18:25:38
orbit

Nicht-interaktives Diagramm | Interaktives Diagramm

position vs time
speed & acceleration