🇳🇴 🇬🇧 🇩🇪 🇨🇿 🇫🇮

Meteor, poloha: Andenes 2023-12-31 00:49:20 UTC

Soubor KML  |  InteraktivnĂ­ mapa

Mapa zobrazuje dráhy meteoru. Světlejší čáry ukazují směry od pozorovacích stanic při objevení se meteoru a tmavší čáry, kde byl naposledy viděn. Modrá šipka značí viditelnou dráhu meteoru.

static map
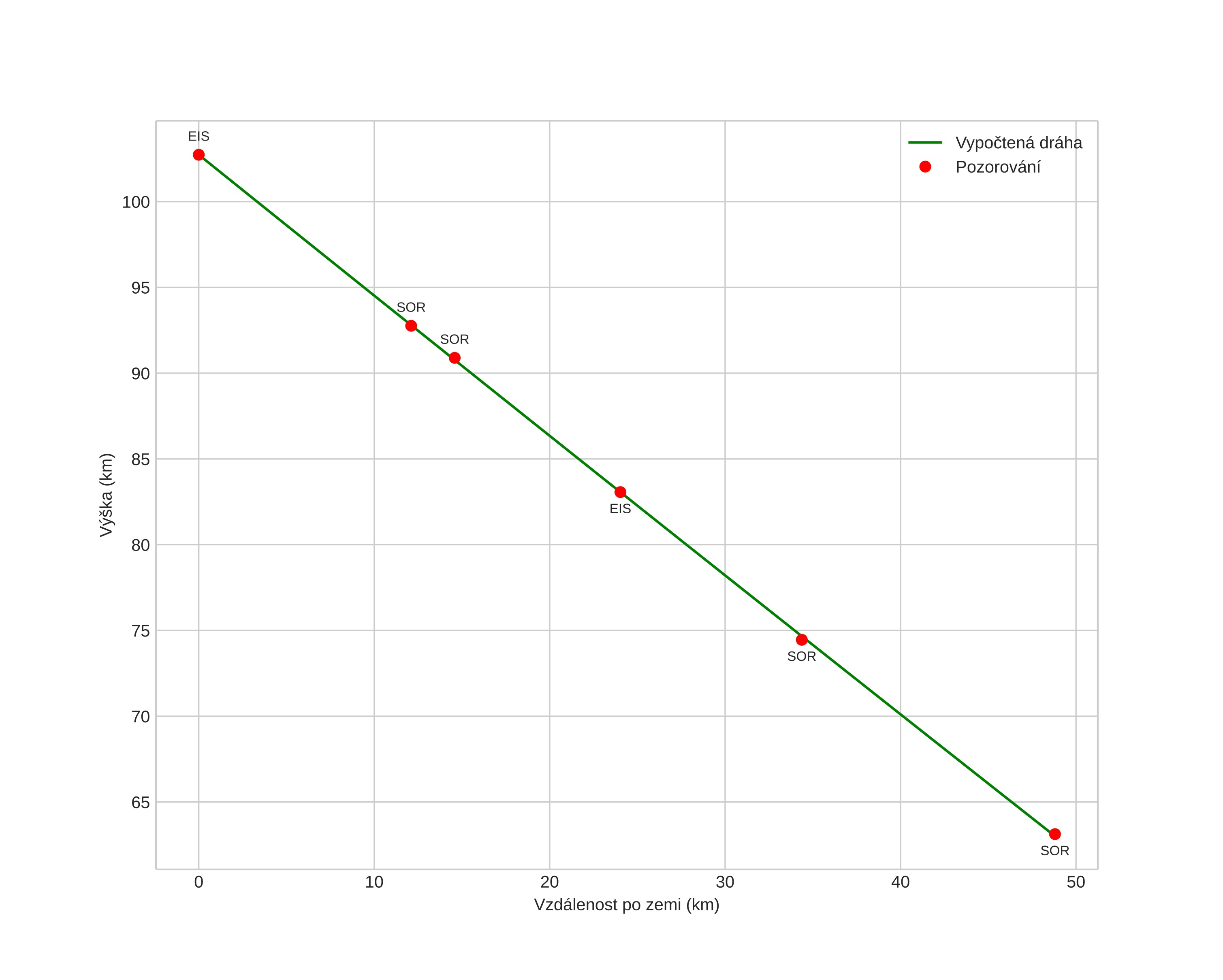
height profile
Atmosférická dráha meteoru:
Počáteční výška: 104,4 km
Konečná výška: 77,0 km
Počáteční poloha: 69,575N 15,411E
Konečná poloha: 69,831N 15,954E
Směr: 36,1°
Sklon: 37,8°
VstupnĂ­ rychlost: 24,8 km/s
Rektascenze radiantu: 06:22 (95,7°)
Deklinace radiantu: 17,5°
MeteorickĂ˝ roj: sporadickĂ˝
Elementy dráhy meteoroidu:
Vzdálenost v periheliu: 0,611 AU
Excentricita: 0,785
Sklon dráhy: 4,1°
Délka vzestupného uzlu: 98,8°
Argument perihelia: 82,0°
Střední anomálie: 351,3°
Epocha: 2023 DEC 31 00:49:20
orbit plot

NeinteraktivnĂ­ graf | InteraktivnĂ­ graf

position vs time
speed and acceleration