🇳🇴 🇬🇧 🇩🇪 🇨🇿 🇫🇮

Meteor über Andenes 2023-12-31 00:49:20 UTC

KML-Datei  |  Interaktive Karte

Die Karte zeigt die Peilungen für den Meteor. Die helleren Linien zeigen die Richtungen von den Beobachtungsorten beim Erscheinen des Meteors, und die dunkleren Linien, wo er zuletzt gesehen wurde. Der blaue Pfeil zeigt die sichtbare Bahn des Meteors.

static map
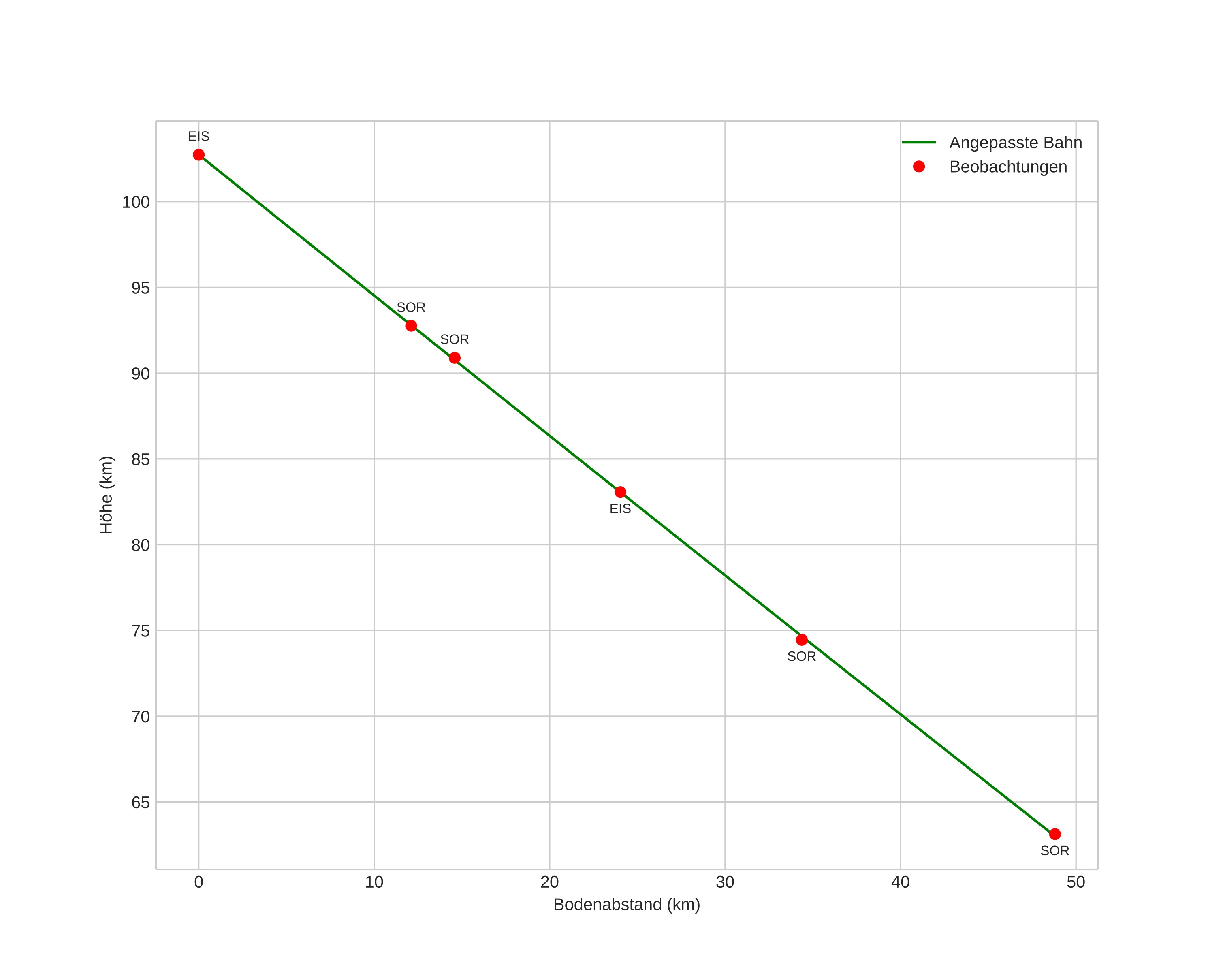
height profile
Atmosphärische Bahn des Meteors:
Anfangshöhe: 104,4 km
Endhöhe: 77,0 km
Startposition: 69,575N 15,411E
Endposition: 69,831N 15,954E
Richtung: 36,1°
Neigungswinkel: 37,8°
Eintrittsgeschwindigkeit: 24,8 km/s
Rektaszension des Radianten: 06:22 (95,7°)
Deklination des Radianten: 17,5°
Meteorstrom: sporadisch
Bahnelemente des Meteoroiden:
Periheldistanz: 0,611 AU
Exzentrizität: 0,785
Inklination: 4,1°
Länge des aufsteigenden Knotens: 98,8°
Argument des Perihels: 82,0°
Mittlere Anomalie: 351,3°
Epoche: 2023 DEC 31 00:49:20
orbit plot

Nicht-interaktives Diagramm | Interaktives Diagramm

position vs time
speed and acceleration