🇳🇴 🇬🇧 🇩🇪 🇨🇿 🇫🇮

Meteor, poloha: Storsteinnes 2023-12-31 03:55:28 UTC

Soubor KML  |  InteraktivnĂ­ mapa

Mapa zobrazuje dráhy meteoru. Světlejší čáry ukazují směry od pozorovacích stanic při objevení se meteoru a tmavší čáry, kde byl naposledy viděn. Modrá šipka značí viditelnou dráhu meteoru.

static map
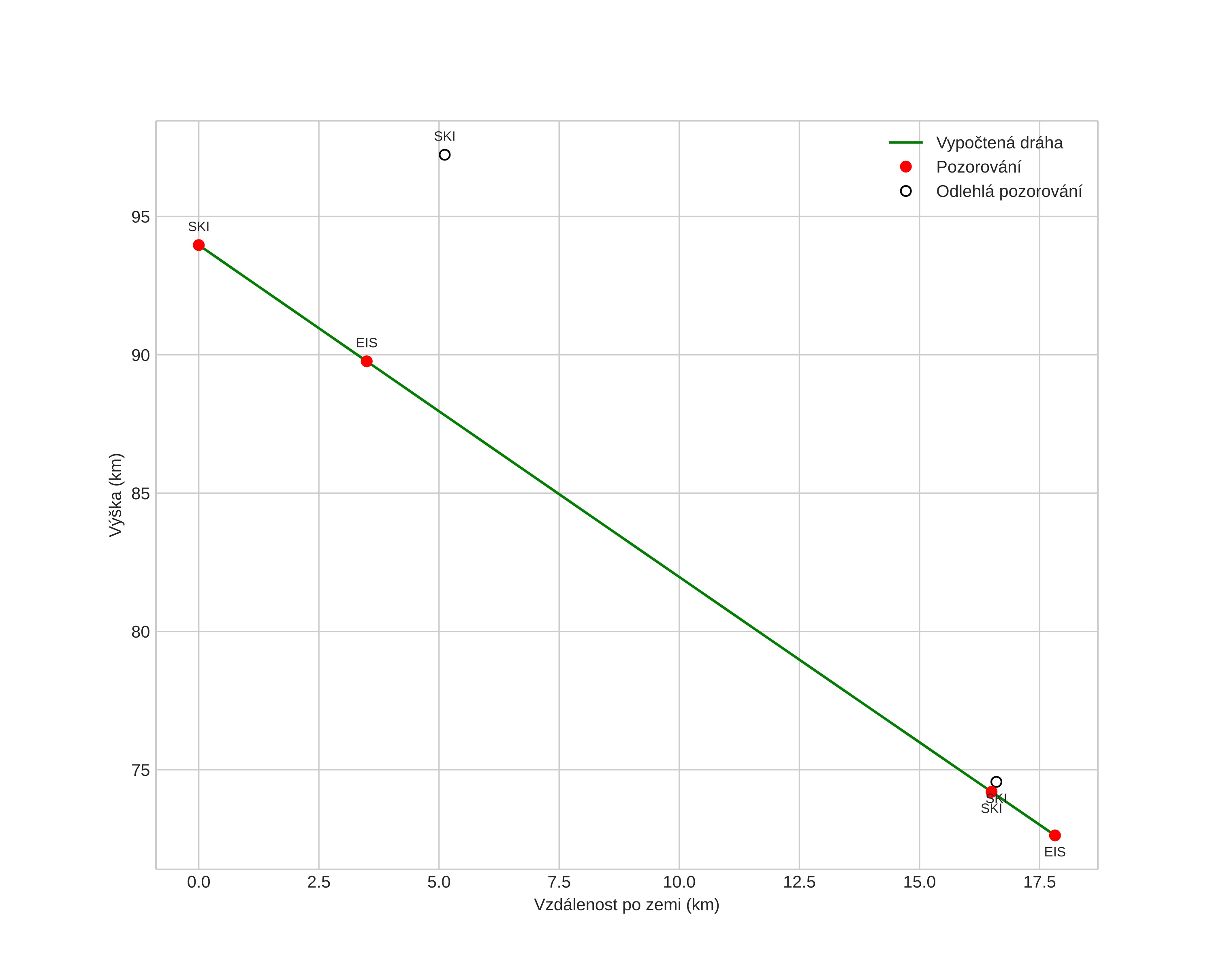
height profile
Atmosférická dráha meteoru:
Počáteční výška: 95,6 km
Konečná výška: 75,1 km
Počáteční poloha: 68,616N 19,569E
Konečná poloha: 68,456N 19,374E
Směr: 204,1°
Sklon: 46,4°
VstupnĂ­ rychlost: 24,5 km/s
Rektascenze radiantu: 21:15 (318,9°)
Deklinace radiantu: 62,4°
MeteorickĂ˝ roj: sporadickĂ˝
Elementy dráhy meteoroidu:
Vzdálenost v periheliu: 0,983 AU
Excentricita: 1,062
Sklon dráhy: 28,1°
Délka vzestupného uzlu: 278,9°
Argument perihelia: 181,1°
Střední anomálie: -0,0°
Epocha: 2023 DEC 31 03:55:28
orbit plot

NeinteraktivnĂ­ graf | InteraktivnĂ­ graf

position vs time
speed and acceleration