🇳🇴 🇬🇧 🇩🇪 🇨🇿 🇫🇮

Meteor Storsteinnesin yllä 2023-12-31 03:55:28 UTC

KML-tiedosto  |  Interaktiivinen kartta

Kartta näyttää meteorin suuntahavainnot. Vaaleammat viivat näyttävät suunnat havaintoasemilta meteorin ilmestyessä, ja tummemmat viivat näyttävät, missä se viimeksi nähtiin. Sininen nuoli näyttää meteorin näkyvän lennon.

static map
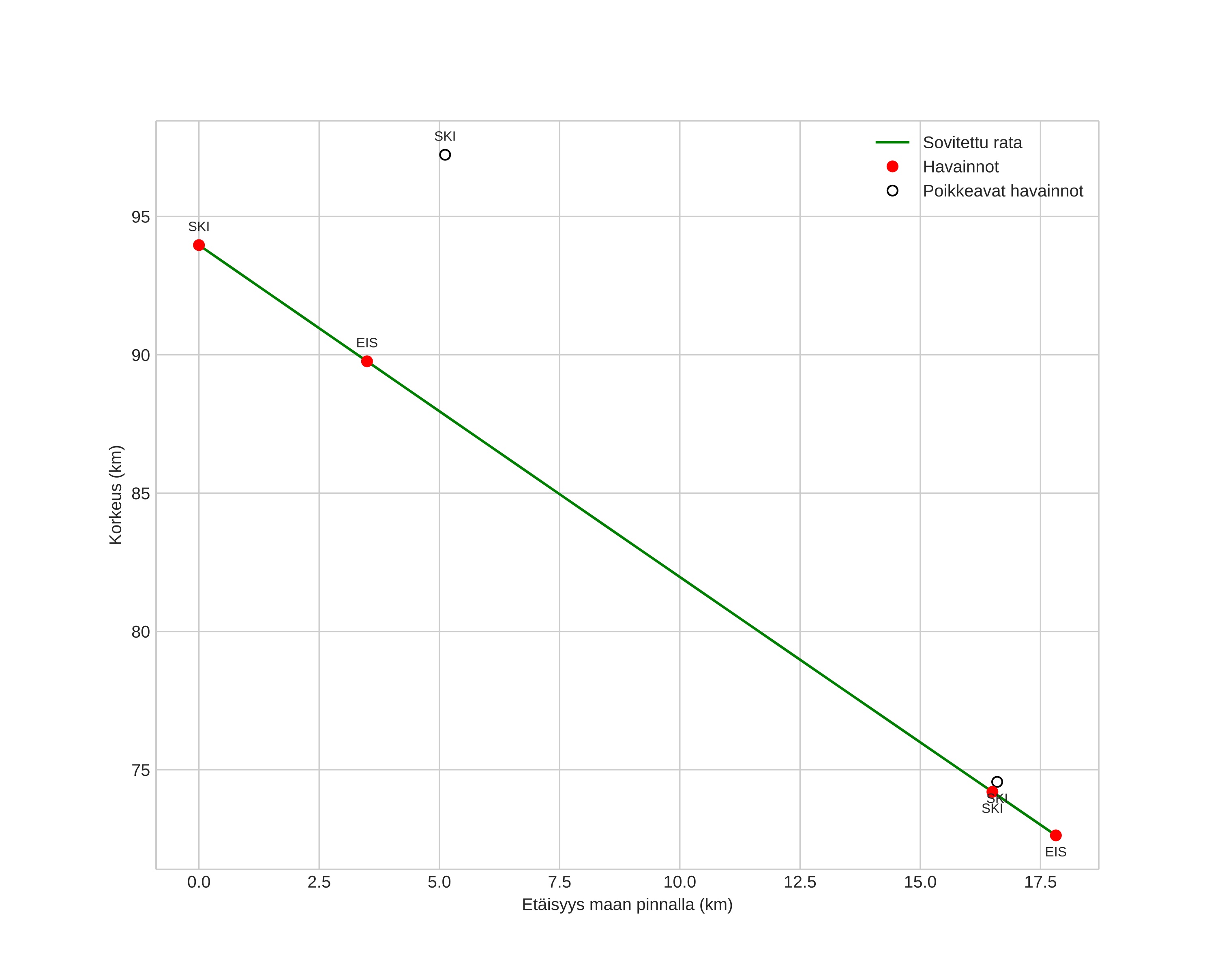
height profile
Meteorin ilmakehärata:
Alkukorkeus: 95,6 km
Loppukorkeus: 75,1 km
Alkupiste: 68,616N 19,569E
Loppupiste: 68,456N 19,374E
Suunta: 204,1°
Kallistuskulma: 46,4°
Tulonopeus: 24,5 km/s
Radiantin R,A,: 21:15 (318,9°)
Radiantin Dekl,: 62,4°
Meteoriparvi: Sporadinen
Meteoroidin rataelementit:
Perihelietäisyys: 0,983 AU
Eksentrisyys: 1,062
Inklinaatio: 28,1°
Nousevan solmun pituus: 278,9°
Perihelin argumentti: 181,1°
Keskianomalia: -0,0°
Epookki: 2023 DEC 31 03:55:28
orbit plot

Ei-interaktiivinen kuvaaja | Interaktiivinen kuvaaja

position vs time
speed and acceleration