🇳🇴 🇬🇧 🇩🇪 🇨🇿 🇫🇮

Meteor, poloha: Lyngseidet 2023-12-31 17:06:00 UTC

Skibotn – 1
Skibotn – 1
Skibotn – 3
Skibotn – 3
Sørreisa – 2
Sørreisa – 2

Soubor KML  | Interaktivní mapa

map

Mapa zobrazuje dráhy meteoru. Světlejší čáry ukazují směry od pozorovacích stanic při objevení se meteoru a tmavší čáry, kde byl naposledy viděn. Modrá šipka značí viditelnou dráhu meteoru.

height profile
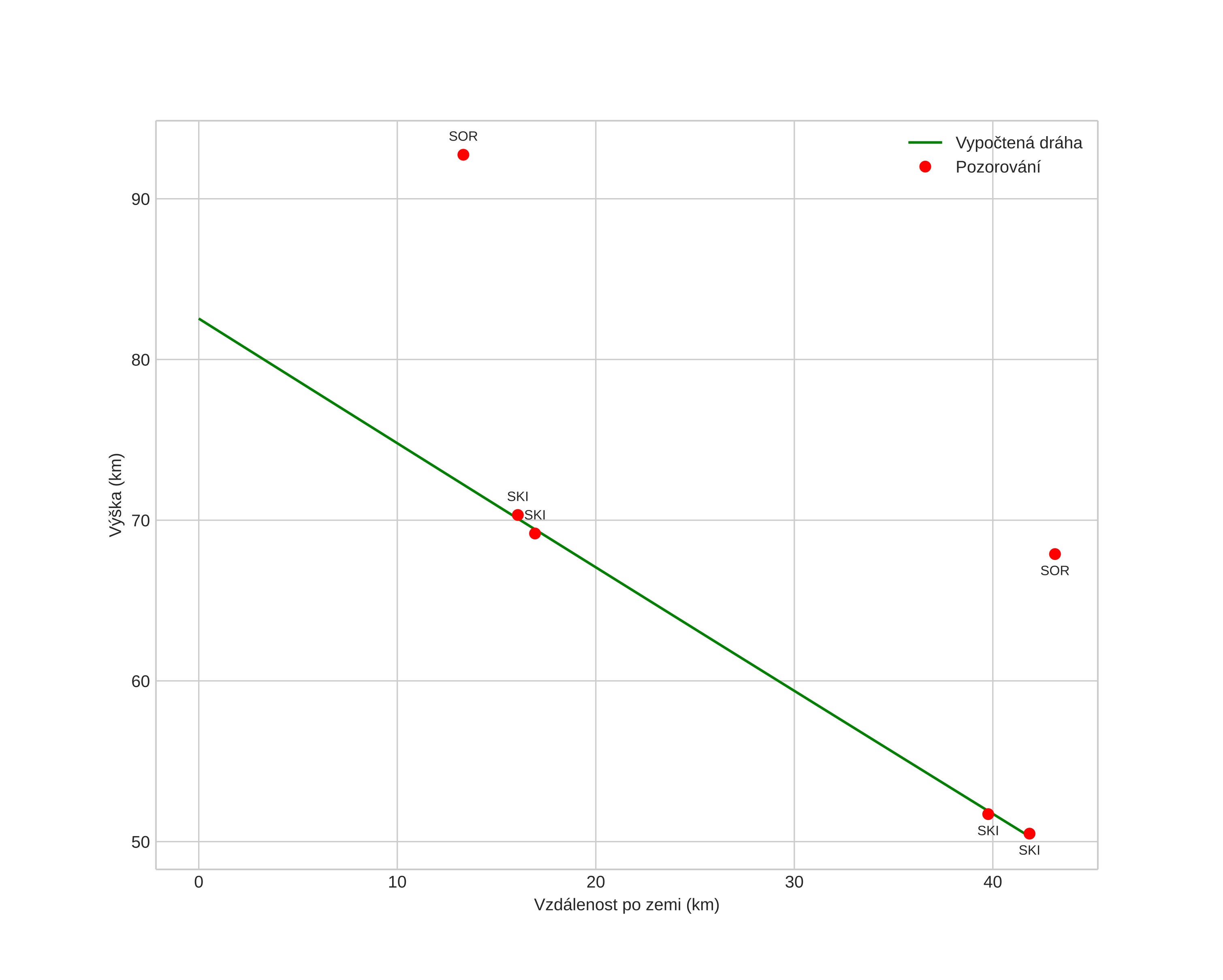
Atmosférická dráha meteoru:
Počáteční výška: 82,8 km
Konečná výška: 50,4 km
Počáteční poloha: 69,672N 19,791E
Konečná poloha: 69,325N 20,224E
Směr: 156,2°
Sklon: 37,6°
Vstupní rychlost: 45,2 km/s
Rektascenze radiantu: 15:20 (230,2°)
Deklinace radiantu: 54,6°
Meteorický roj: Kvadrantidy
Elementy dráhy meteoroidu:
Vzdálenost v periheliu: 0,983 AU
Excentricita: 1,031
Sklon dráhy: 71,4°
Délka vzestupného uzlu: 279,4°
Argument perihelia: 177,5°
Střední anomálie: 0,0°
Epocha: 2023 DEC 31 17:06:00
orbit

Neinteraktivní graf | Interaktivní graf

position vs time
speed & acceleration