🇳🇴 🇬🇧 🇩🇪 🇨🇿 🇫🇮

Meteor über Lyngseidet 2023-12-31 17:06:00 UTC

Skibotn – 1
Skibotn – 1
Skibotn – 3
Skibotn – 3
Sørreisa – 2
Sørreisa – 2

KML-Datei  | Interaktive Karte

map

Die Karte zeigt die Peilungen für den Meteor. Die helleren Linien zeigen die Richtungen von den Beobachtungsorten beim Erscheinen des Meteors, und die dunkleren Linien, wo er zuletzt gesehen wurde. Der blaue Pfeil zeigt die sichtbare Bahn des Meteors.

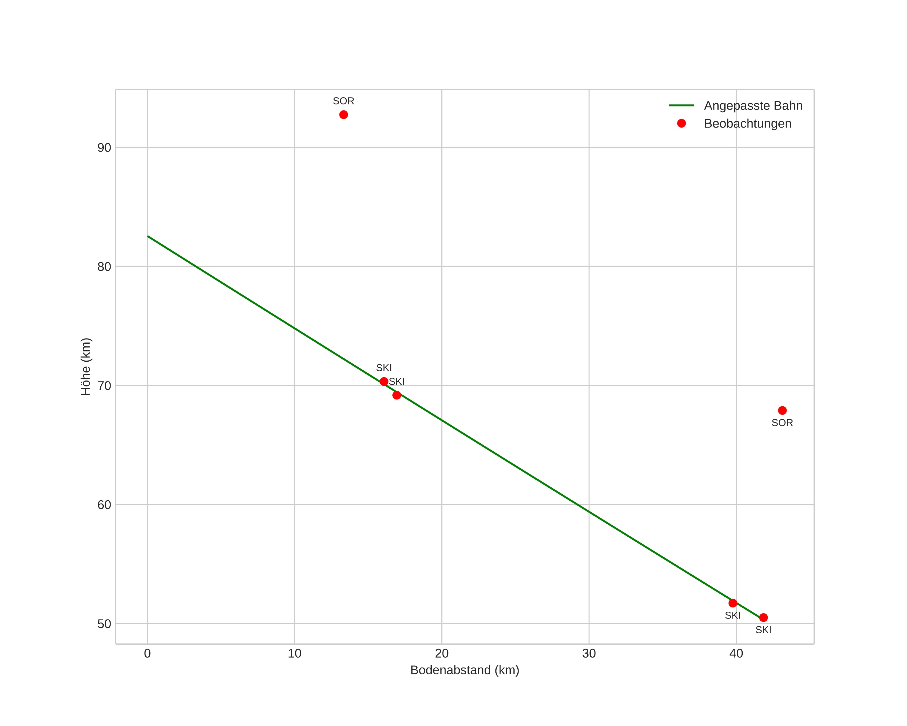
height profile
Atmosphärische Bahn des Meteors:
Anfangshöhe: 82,8 km
Endhöhe: 50,4 km
Startposition: 69,672N 19,791E
Endposition: 69,325N 20,224E
Richtung: 156,2°
Neigungswinkel: 37,6°
Eintrittsgeschwindigkeit: 45,2 km/s
Rektaszension des Radianten: 15:20 (230,2°)
Deklination des Radianten: 54,6°
Meteorstrom: Quadrantiden
Bahnelemente des Meteoroiden:
Periheldistanz: 0,983 AU
Exzentrizität: 1,031
Inklination: 71,4°
Länge des aufsteigenden Knotens: 279,4°
Argument des Perihels: 177,5°
Mittlere Anomalie: 0,0°
Epoche: 2023 DEC 31 17:06:00
orbit

Nicht-interaktives Diagramm | Interaktives Diagramm

position vs time
speed & acceleration