🇳🇴 🇬🇧 🇩🇪 🇨🇿 🇫🇮

Meteor, poloha: Andenes 2023-12-31 21:02:08 UTC

Soubor KML  |  InteraktivnĂ­ mapa

Mapa zobrazuje dráhy meteoru. Světlejší čáry ukazují směry od pozorovacích stanic při objevení se meteoru a tmavší čáry, kde byl naposledy viděn. Modrá šipka značí viditelnou dráhu meteoru.

static map
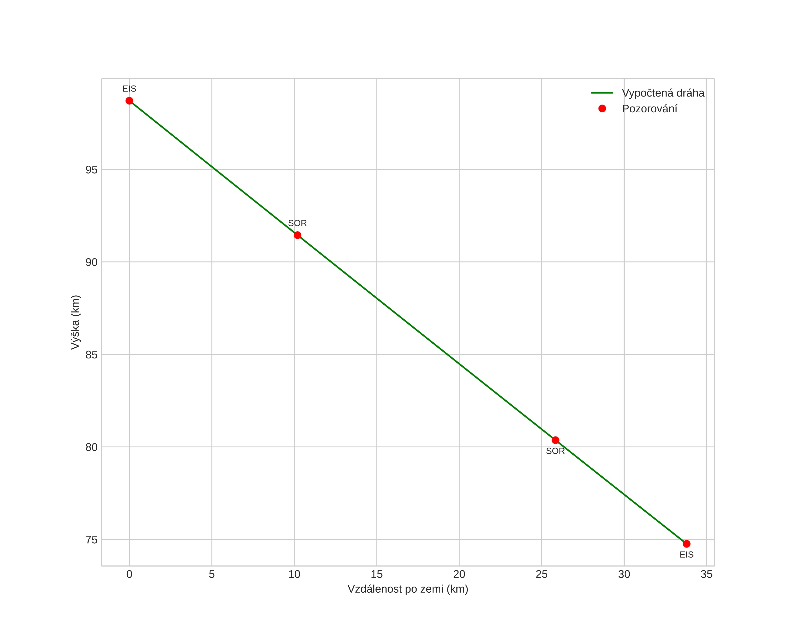
height profile
Atmosférická dráha meteoru:
Počáteční výška: 99,0 km
Konečná výška: 75,0 km
Počáteční poloha: 70,964N 17,140E
Konečná poloha: 70,679N 16,807E
Směr: 201,2°
Sklon: 35,3°
VstupnĂ­ rychlost: 44,8 km/s
Rektascenze radiantu: 14:55 (223,9°)
Deklinace radiantu: 51,9°
MeteorickĂ˝ roj: Kvadrantidy
Elementy dráhy meteoroidu:
Vzdálenost v periheliu: 0,983 AU
Excentricita: 0,786
Sklon dráhy: 74,6°
Délka vzestupného uzlu: 279,6°
Argument perihelia: 179,3°
Střední anomálie: 0,0°
Epocha: 2023 DEC 31 21:02:08
orbit plot

NeinteraktivnĂ­ graf | InteraktivnĂ­ graf

position vs time
speed and acceleration