🇳🇴 🇬🇧 🇩🇪 🇨🇿 🇫🇮

Meteor Andenesin yllä 2023-12-31 21:02:08 UTC

KML-tiedosto  |  Interaktiivinen kartta

Kartta näyttää meteorin suuntahavainnot. Vaaleammat viivat näyttävät suunnat havaintoasemilta meteorin ilmestyessä, ja tummemmat viivat näyttävät, missä se viimeksi nähtiin. Sininen nuoli näyttää meteorin näkyvän lennon.

static map
height profile
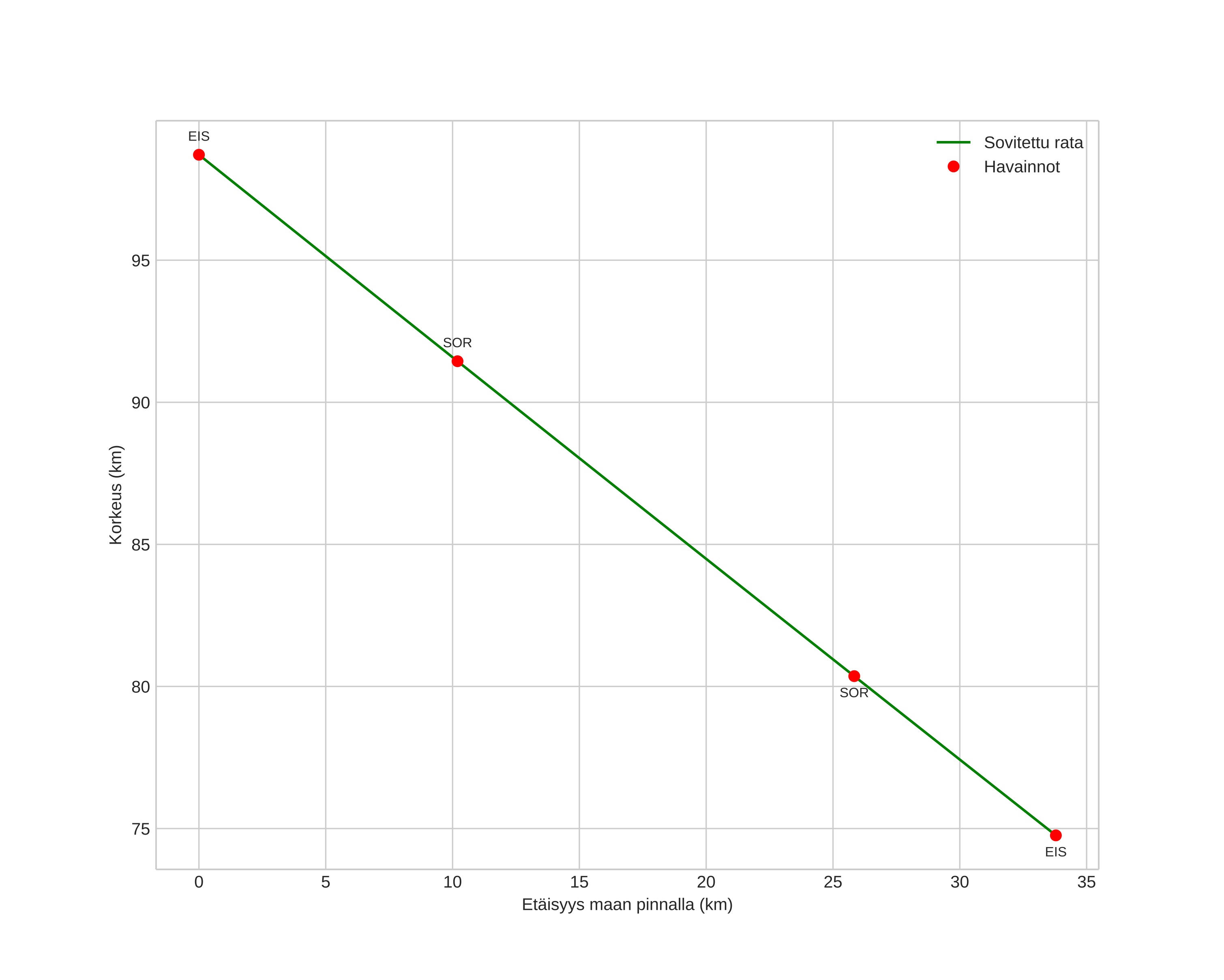
Meteorin ilmakehärata:
Alkukorkeus: 99,0 km
Loppukorkeus: 75,0 km
Alkupiste: 70,964N 17,140E
Loppupiste: 70,679N 16,807E
Suunta: 201,2°
Kallistuskulma: 35,3°
Tulonopeus: 44,8 km/s
Radiantin R,A,: 14:55 (223,9°)
Radiantin Dekl,: 51,9°
Meteoriparvi: Kvadrantidit
Meteoroidin rataelementit:
Perihelietäisyys: 0,983 AU
Eksentrisyys: 0,786
Inklinaatio: 74,6°
Nousevan solmun pituus: 279,6°
Perihelin argumentti: 179,3°
Keskianomalia: 0,0°
Epookki: 2023 DEC 31 21:02:08
orbit plot

Ei-interaktiivinen kuvaaja | Interaktiivinen kuvaaja

position vs time
speed and acceleration