🇳🇴 🇬🇧 🇩🇪 🇨🇿 🇫🇮

Meteor, poloha: Brøstadbotn 2024-01-01 04:12:57 UTC

Soubor KML  |  InteraktivnĂ­ mapa

Mapa zobrazuje dráhy meteoru. Světlejší čáry ukazují směry od pozorovacích stanic při objevení se meteoru a tmavší čáry, kde byl naposledy viděn. Modrá šipka značí viditelnou dráhu meteoru.

static map
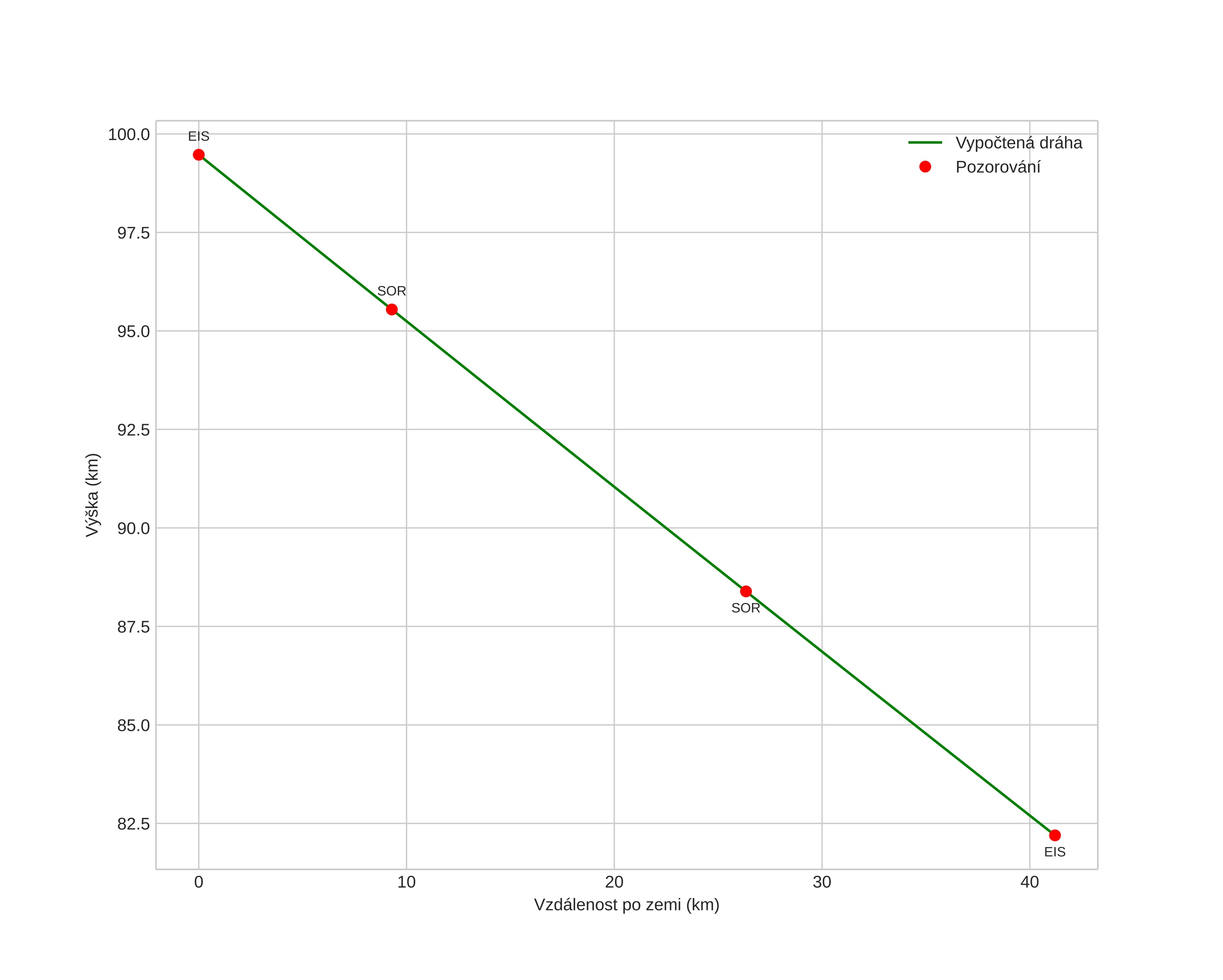
height profile
Atmosférická dráha meteoru:
Počáteční výška: 96,7 km
Konečná výška: 82,0 km
Počáteční poloha: 69,109N 16,764E
Konečná poloha: 69,169N 17,646E
Směr: 78,9°
Sklon: 22,5°
VstupnĂ­ rychlost: 34,1 km/s
Rektascenze radiantu: 07:10 (107,5°)
Deklinace radiantu: 15,0°
MeteorickĂ˝ roj: sporadickĂ˝
Elementy dráhy meteoroidu:
Vzdálenost v periheliu: 0,392 AU
Excentricita: 0,965
Sklon dráhy: 9,0°
Délka vzestupného uzlu: 99,9°
Argument perihelia: 102,9°
Střední anomálie: 359,0°
Epocha: 2024 JAN 01 04:12:57
orbit plot

NeinteraktivnĂ­ graf | InteraktivnĂ­ graf

position vs time
speed and acceleration