🇳🇴 🇬🇧 🇩🇪 🇨🇿 🇫🇮

Meteor Brøstadbotnin yllä 2024-01-01 04:12:57 UTC

KML-tiedosto  |  Interaktiivinen kartta

Kartta näyttää meteorin suuntahavainnot. Vaaleammat viivat näyttävät suunnat havaintoasemilta meteorin ilmestyessä, ja tummemmat viivat näyttävät, missä se viimeksi nähtiin. Sininen nuoli näyttää meteorin näkyvän lennon.

static map
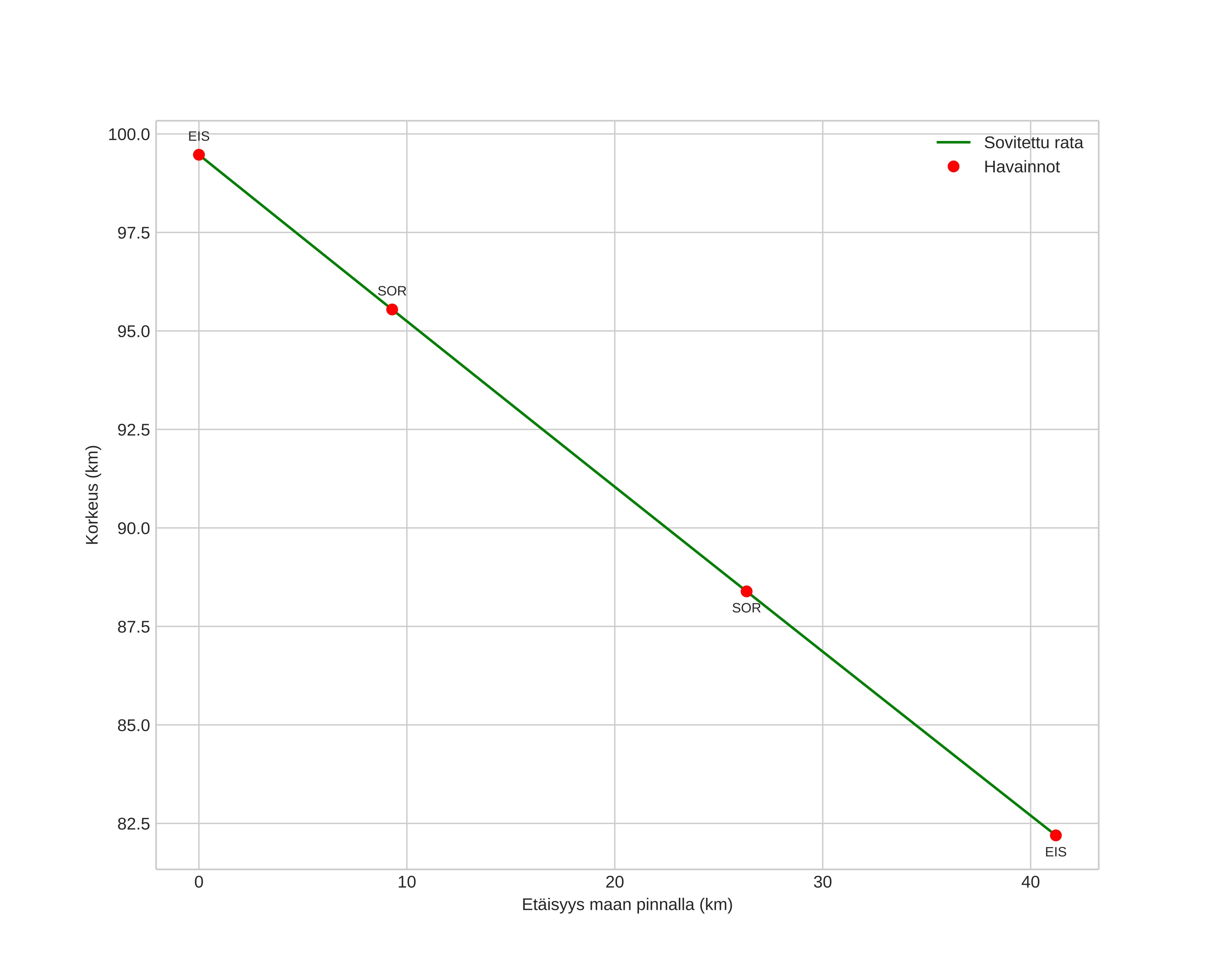
height profile
Meteorin ilmakehärata:
Alkukorkeus: 96,7 km
Loppukorkeus: 82,0 km
Alkupiste: 69,109N 16,764E
Loppupiste: 69,169N 17,646E
Suunta: 78,9°
Kallistuskulma: 22,5°
Tulonopeus: 34,1 km/s
Radiantin R,A,: 07:10 (107,5°)
Radiantin Dekl,: 15,0°
Meteoriparvi: Sporadinen
Meteoroidin rataelementit:
Perihelietäisyys: 0,392 AU
Eksentrisyys: 0,965
Inklinaatio: 9,0°
Nousevan solmun pituus: 99,9°
Perihelin argumentti: 102,9°
Keskianomalia: 359,0°
Epookki: 2024 JAN 01 04:12:57
orbit plot

Ei-interaktiivinen kuvaaja | Interaktiivinen kuvaaja

position vs time
speed and acceleration