🇳🇴 🇬🇧 🇩🇪 🇨🇿 🇫🇮

Meteor, poloha: Arjeplog 2024-01-01 20:59:35 UTC

Soubor KML  |  InteraktivnĂ­ mapa

Mapa zobrazuje dráhy meteoru. Světlejší čáry ukazují směry od pozorovacích stanic při objevení se meteoru a tmavší čáry, kde byl naposledy viděn. Modrá šipka značí viditelnou dráhu meteoru.

static map
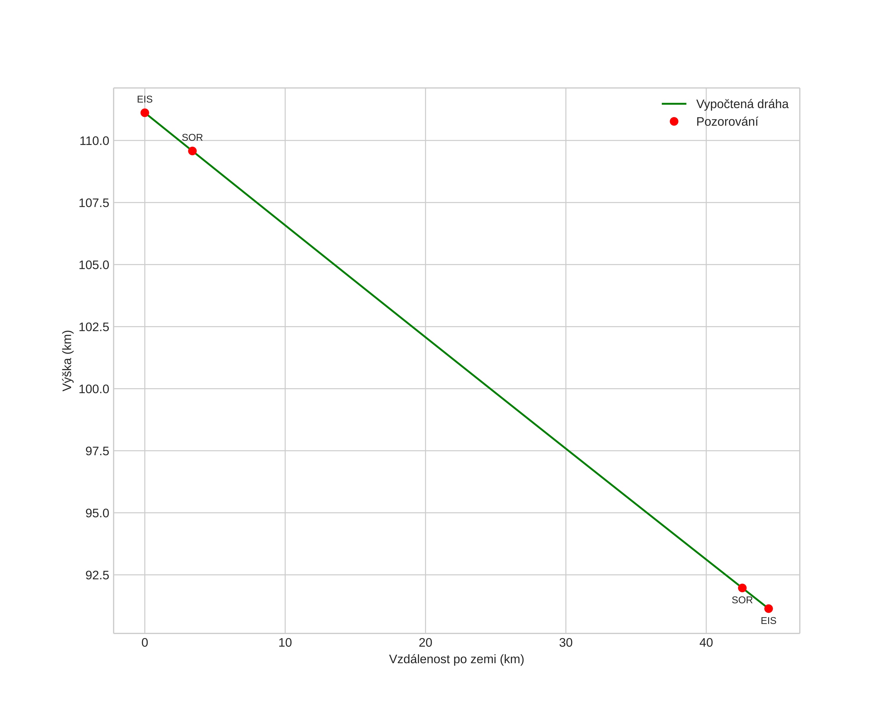
height profile
Atmosférická dráha meteoru:
Počáteční výška: 113,0 km
Konečná výška: 93,9 km
Počáteční poloha: 67,179N 17,668E
Konečná poloha: 66,768N 17,291E
Směr: 199,9°
Sklon: 21,5°
VstupnĂ­ rychlost: 56,5 km/s
Rektascenze radiantu: 15:12 (228,2°)
Deklinace radiantu: 42,0°
MeteorickĂ˝ roj: sporadickĂ˝
Elementy dráhy meteoroidu:
Vzdálenost v periheliu: 0,958 AU
Excentricita: 1,425
Sklon dráhy: 88,9°
Délka vzestupného uzlu: 280,6°
Argument perihelia: 163,0°
Střední anomálie: 3,1°
Epocha: 2024 JAN 01 20:59:35
orbit plot

NeinteraktivnĂ­ graf | InteraktivnĂ­ graf

position vs time
speed and acceleration