🇳🇴 🇬🇧 🇩🇪 🇨🇿 🇫🇮

Meteor Arjeplogin yllä 2024-01-01 20:59:35 UTC

KML-tiedosto  |  Interaktiivinen kartta

Kartta näyttää meteorin suuntahavainnot. Vaaleammat viivat näyttävät suunnat havaintoasemilta meteorin ilmestyessä, ja tummemmat viivat näyttävät, missä se viimeksi nähtiin. Sininen nuoli näyttää meteorin näkyvän lennon.

static map
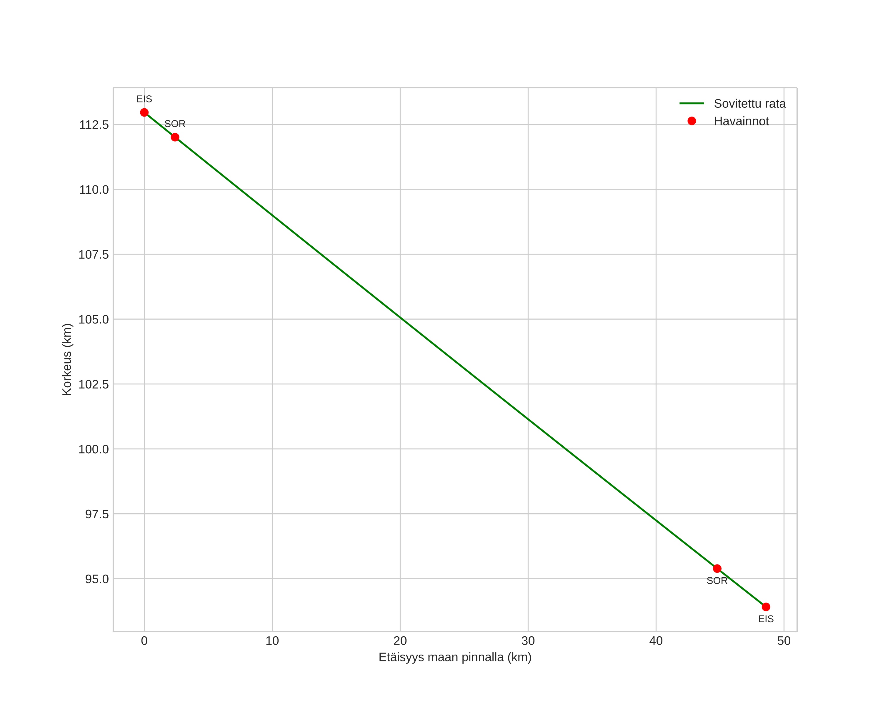
height profile
Meteorin ilmakehärata:
Alkukorkeus: 113,0 km
Loppukorkeus: 93,9 km
Alkupiste: 67,179N 17,668E
Loppupiste: 66,768N 17,291E
Suunta: 199,9°
Kallistuskulma: 21,5°
Tulonopeus: 56,5 km/s
Radiantin R,A,: 15:12 (228,2°)
Radiantin Dekl,: 42,0°
Meteoriparvi: Sporadinen
Meteoroidin rataelementit:
Perihelietäisyys: 0,958 AU
Eksentrisyys: 1,425
Inklinaatio: 88,9°
Nousevan solmun pituus: 280,6°
Perihelin argumentti: 163,0°
Keskianomalia: 3,1°
Epookki: 2024 JAN 01 20:59:35
orbit plot

Ei-interaktiivinen kuvaaja | Interaktiivinen kuvaaja

position vs time
speed and acceleration