🇳🇴 🇬🇧 🇩🇪 🇨🇿 🇫🇮

Meteor, poloha: Røst 2024-01-03 14:36:55 UTC

Soubor KML  |  InteraktivnĂ­ mapa

Mapa zobrazuje dráhy meteoru. Světlejší čáry ukazují směry od pozorovacích stanic při objevení se meteoru a tmavší čáry, kde byl naposledy viděn. Modrá šipka značí viditelnou dráhu meteoru.

static map
height profile
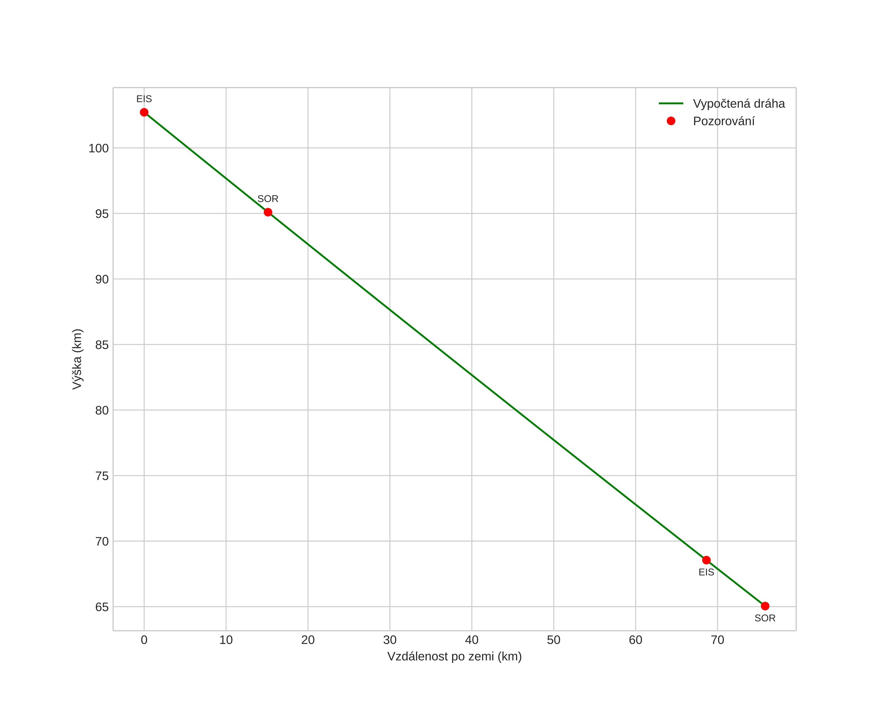
Atmosférická dráha meteoru:
Počáteční výška: 110,1 km
Konečná výška: 69,7 km
Počáteční poloha: 69,571N 9,664E
Konečná poloha: 68,983N 10,839E
Směr: 144,2°
Sklon: 26,8°
VstupnĂ­ rychlost: 67,5 km/s
Rektascenze radiantu: 13:05 (196,4°)
Deklinace radiantu: 42,0°
MeteorickĂ˝ roj: sporadickĂ˝
Elementy dráhy meteoroidu:
Vzdálenost v periheliu: 0,917 AU
Excentricita: 1,835
Sklon dráhy: 107,9°
Délka vzestupného uzlu: 282,4°
Argument perihelia: 206,3°
Střední anomálie: -12,5°
Epocha: 2024 JAN 03 14:36:55
orbit plot

NeinteraktivnĂ­ graf | InteraktivnĂ­ graf

position vs time
speed and acceleration