🇳🇴 🇬🇧 🇩🇪 🇨🇿 🇫🇮

Meteor Røstin yllä 2024-01-03 14:36:55 UTC

KML-tiedosto  |  Interaktiivinen kartta

Kartta näyttää meteorin suuntahavainnot. Vaaleammat viivat näyttävät suunnat havaintoasemilta meteorin ilmestyessä, ja tummemmat viivat näyttävät, missä se viimeksi nähtiin. Sininen nuoli näyttää meteorin näkyvän lennon.

static map
height profile
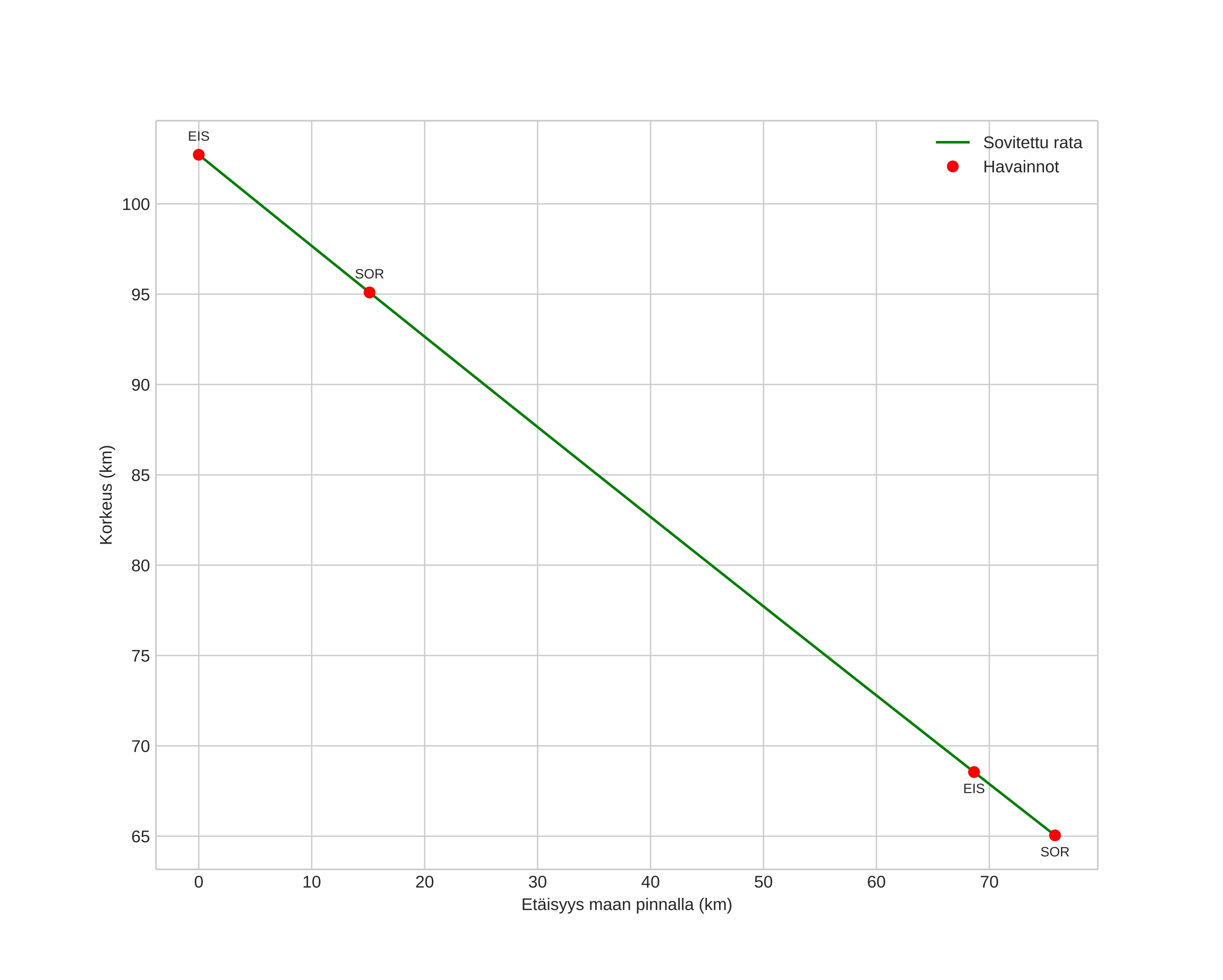
Meteorin ilmakehärata:
Alkukorkeus: 110,1 km
Loppukorkeus: 69,7 km
Alkupiste: 69,571N 9,664E
Loppupiste: 68,983N 10,839E
Suunta: 144,2°
Kallistuskulma: 26,8°
Tulonopeus: 67,5 km/s
Radiantin R,A,: 13:05 (196,4°)
Radiantin Dekl,: 42,0°
Meteoriparvi: Sporadinen
Meteoroidin rataelementit:
Perihelietäisyys: 0,917 AU
Eksentrisyys: 1,835
Inklinaatio: 107,9°
Nousevan solmun pituus: 282,4°
Perihelin argumentti: 206,3°
Keskianomalia: -12,5°
Epookki: 2024 JAN 03 14:36:55
orbit plot

Ei-interaktiivinen kuvaaja | Interaktiivinen kuvaaja

position vs time
speed and acceleration