🇳🇴 🇬🇧 🇩🇪 🇨🇿 🇫🇮

Meteor, poloha: Skjervøy 2024-01-04 00:59:36 UTC

Soubor KML  |  InteraktivnĂ­ mapa

Mapa zobrazuje dráhy meteoru. Světlejší čáry ukazují směry od pozorovacích stanic při objevení se meteoru a tmavší čáry, kde byl naposledy viděn. Modrá šipka značí viditelnou dráhu meteoru.

static map
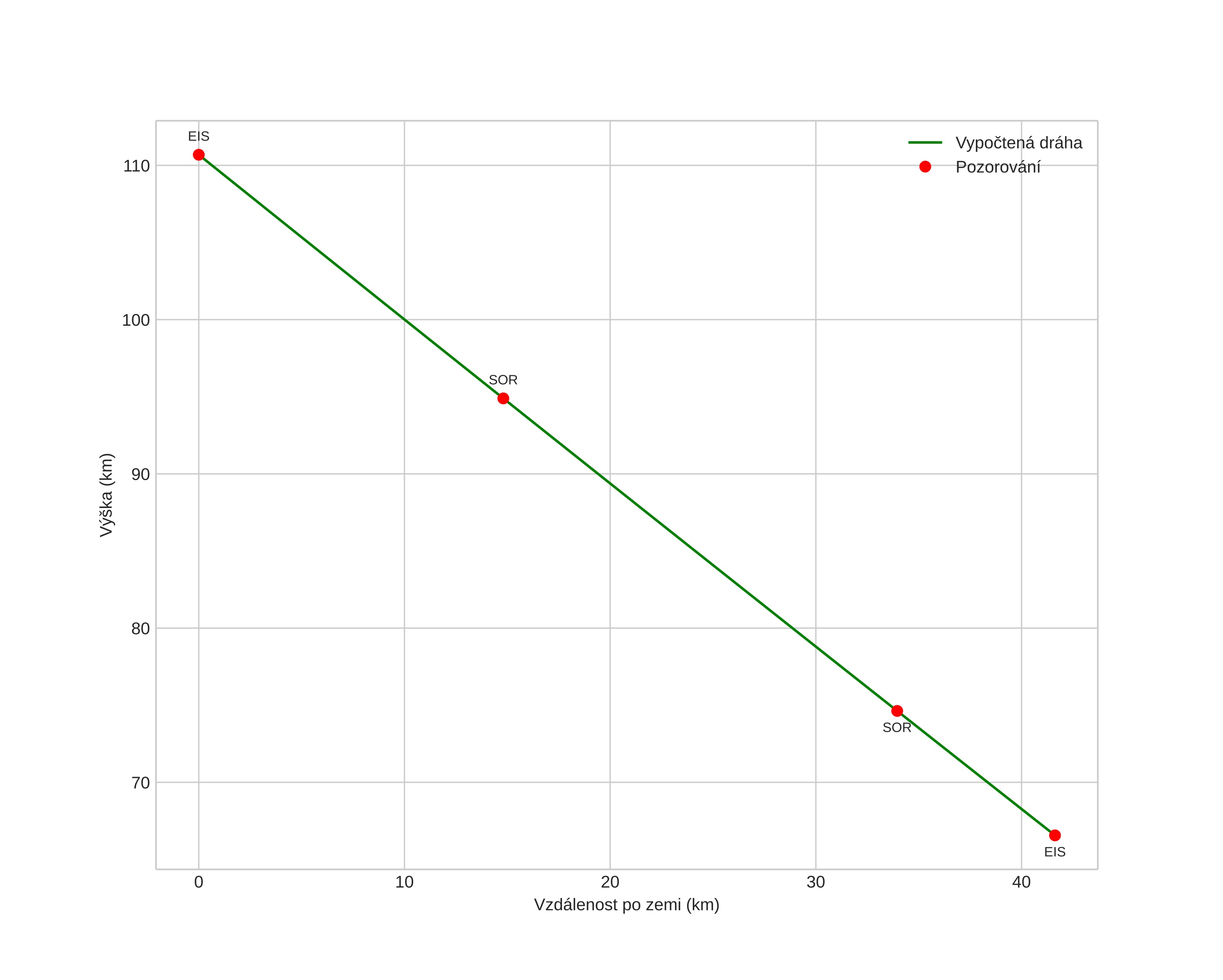
height profile
Atmosférická dráha meteoru:
Počáteční výška: 108,2 km
Konečná výška: 66,9 km
Počáteční poloha: 70,542N 21,800E
Konečná poloha: 70,448N 20,830E
Směr: 254,3°
Sklon: 47,7°
VstupnĂ­ rychlost: 38,9 km/s
Rektascenze radiantu: 14:54 (223,5°)
Deklinace radiantu: 48,8°
MeteorickĂ˝ roj: Kvadrantidy
Elementy dráhy meteoroidu:
Vzdálenost v periheliu: 0,983 AU
Excentricita: 0,323
Sklon dráhy: 69,7°
Délka vzestupného uzlu: 282,8°
Argument perihelia: 177,8°
Střední anomálie: 1,1°
Epocha: 2024 JAN 04 00:59:36
orbit plot

NeinteraktivnĂ­ graf | InteraktivnĂ­ graf

position vs time
speed and acceleration