🇳🇴 🇬🇧 🇩🇪 🇨🇿 🇫🇮

Meteor Skjervøyn yllä 2024-01-04 00:59:36 UTC

KML-tiedosto  |  Interaktiivinen kartta

Kartta näyttää meteorin suuntahavainnot. Vaaleammat viivat näyttävät suunnat havaintoasemilta meteorin ilmestyessä, ja tummemmat viivat näyttävät, missä se viimeksi nähtiin. Sininen nuoli näyttää meteorin näkyvän lennon.

static map
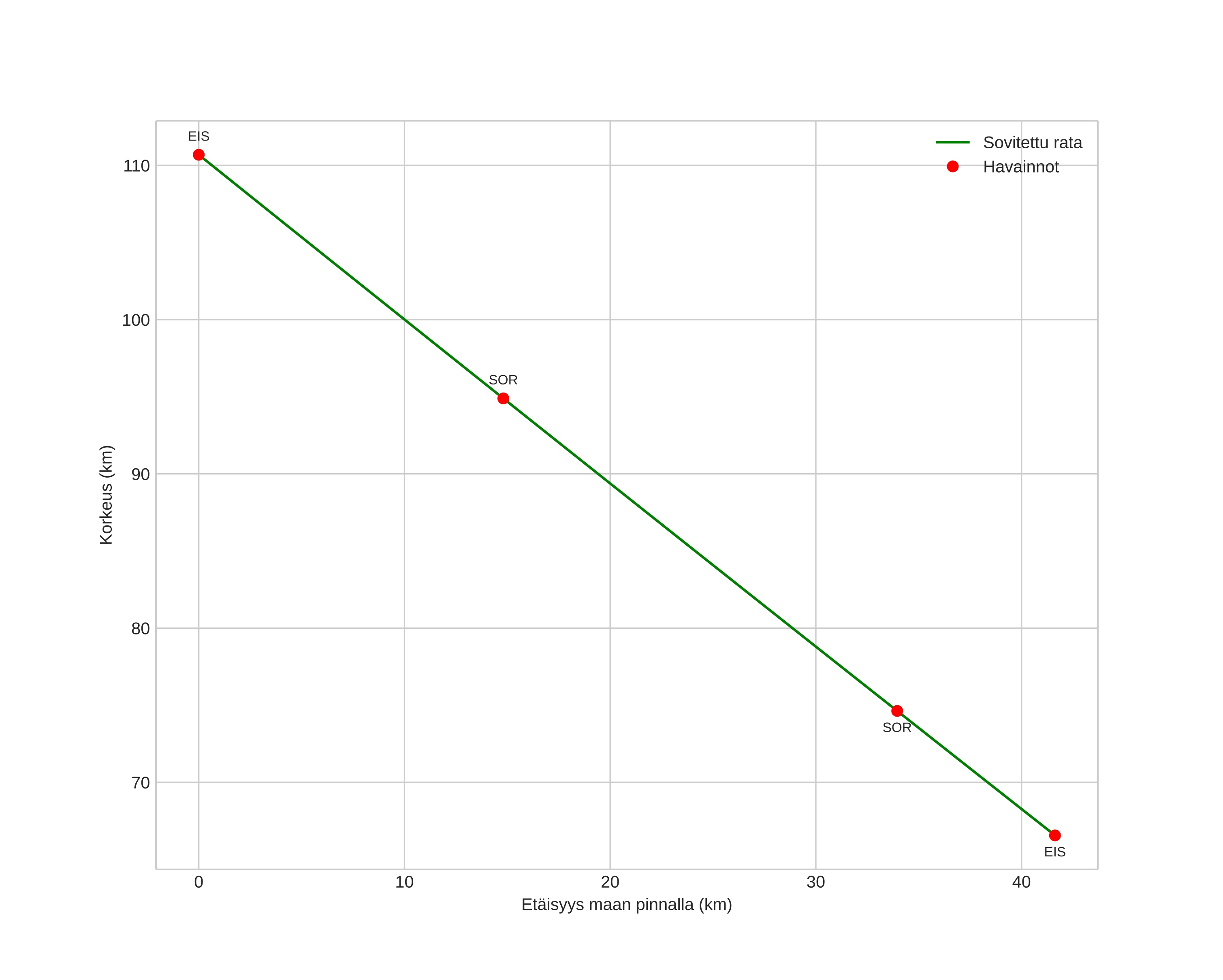
height profile
Meteorin ilmakehärata:
Alkukorkeus: 108,2 km
Loppukorkeus: 66,9 km
Alkupiste: 70,542N 21,800E
Loppupiste: 70,448N 20,830E
Suunta: 254,3°
Kallistuskulma: 47,7°
Tulonopeus: 38,9 km/s
Radiantin R,A,: 14:54 (223,5°)
Radiantin Dekl,: 48,8°
Meteoriparvi: Kvadrantidit
Meteoroidin rataelementit:
Perihelietäisyys: 0,983 AU
Eksentrisyys: 0,323
Inklinaatio: 69,7°
Nousevan solmun pituus: 282,8°
Perihelin argumentti: 177,8°
Keskianomalia: 1,1°
Epookki: 2024 JAN 04 00:59:36
orbit plot

Ei-interaktiivinen kuvaaja | Interaktiivinen kuvaaja

position vs time
speed and acceleration