🇳🇴 🇬🇧 🇩🇪 🇨🇿 🇫🇮

Meteor, poloha: Alta 2024-01-04 03:59:58 UTC

Soubor KML  |  InteraktivnĂ­ mapa

Mapa zobrazuje dráhy meteoru. Světlejší čáry ukazují směry od pozorovacích stanic při objevení se meteoru a tmavší čáry, kde byl naposledy viděn. Modrá šipka značí viditelnou dráhu meteoru.

static map
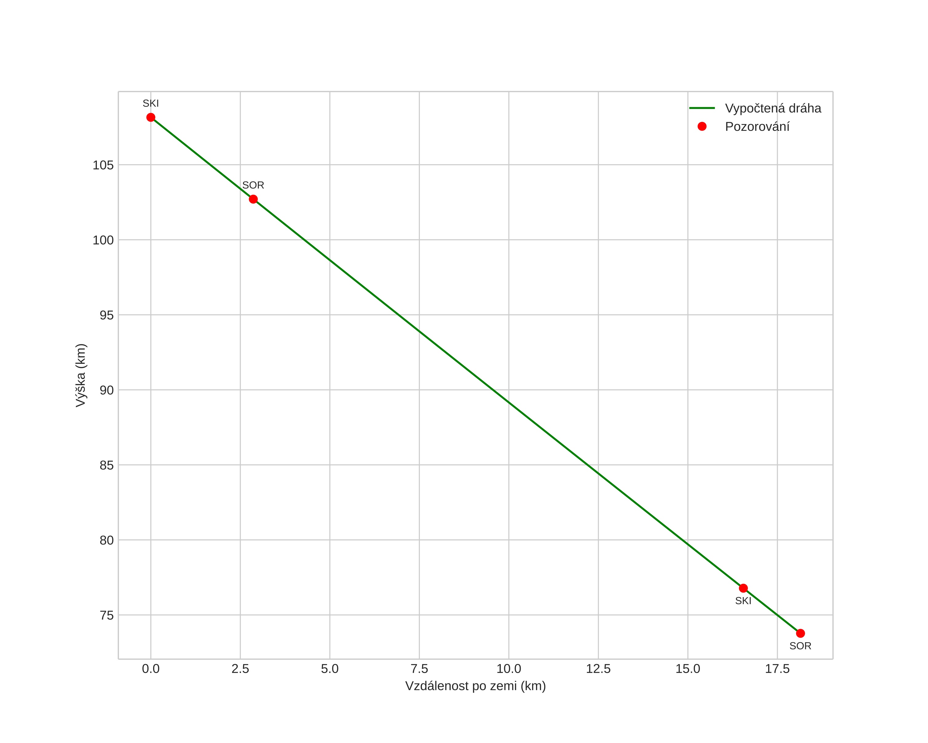
height profile
Atmosférická dráha meteoru:
Počáteční výška: 108,3 km
Konečná výška: 73,5 km
Počáteční poloha: 70,059N 23,613E
Konečná poloha: 70,101N 23,134E
Směr: 284,7°
Sklon: 61,7°
VstupnĂ­ rychlost: 50,4 km/s
Rektascenze radiantu: 15:38 (234,6°)
Deklinace radiantu: 51,7°
MeteorickĂ˝ roj: sporadickĂ˝
Elementy dráhy meteoroidu:
Vzdálenost v periheliu: 0,979 AU
Excentricita: 1,422
Sklon dráhy: 75,8°
Délka vzestupného uzlu: 282,9°
Argument perihelia: 173,1°
Střední anomálie: 1,2°
Epocha: 2024 JAN 04 03:59:58
orbit plot

NeinteraktivnĂ­ graf | InteraktivnĂ­ graf

position vs time
speed and acceleration