🇳🇴 🇬🇧 🇩🇪 🇨🇿 🇫🇮

Meteor Altan yllä 2024-01-04 03:59:58 UTC

KML-tiedosto  |  Interaktiivinen kartta

Kartta näyttää meteorin suuntahavainnot. Vaaleammat viivat näyttävät suunnat havaintoasemilta meteorin ilmestyessä, ja tummemmat viivat näyttävät, missä se viimeksi nähtiin. Sininen nuoli näyttää meteorin näkyvän lennon.

static map
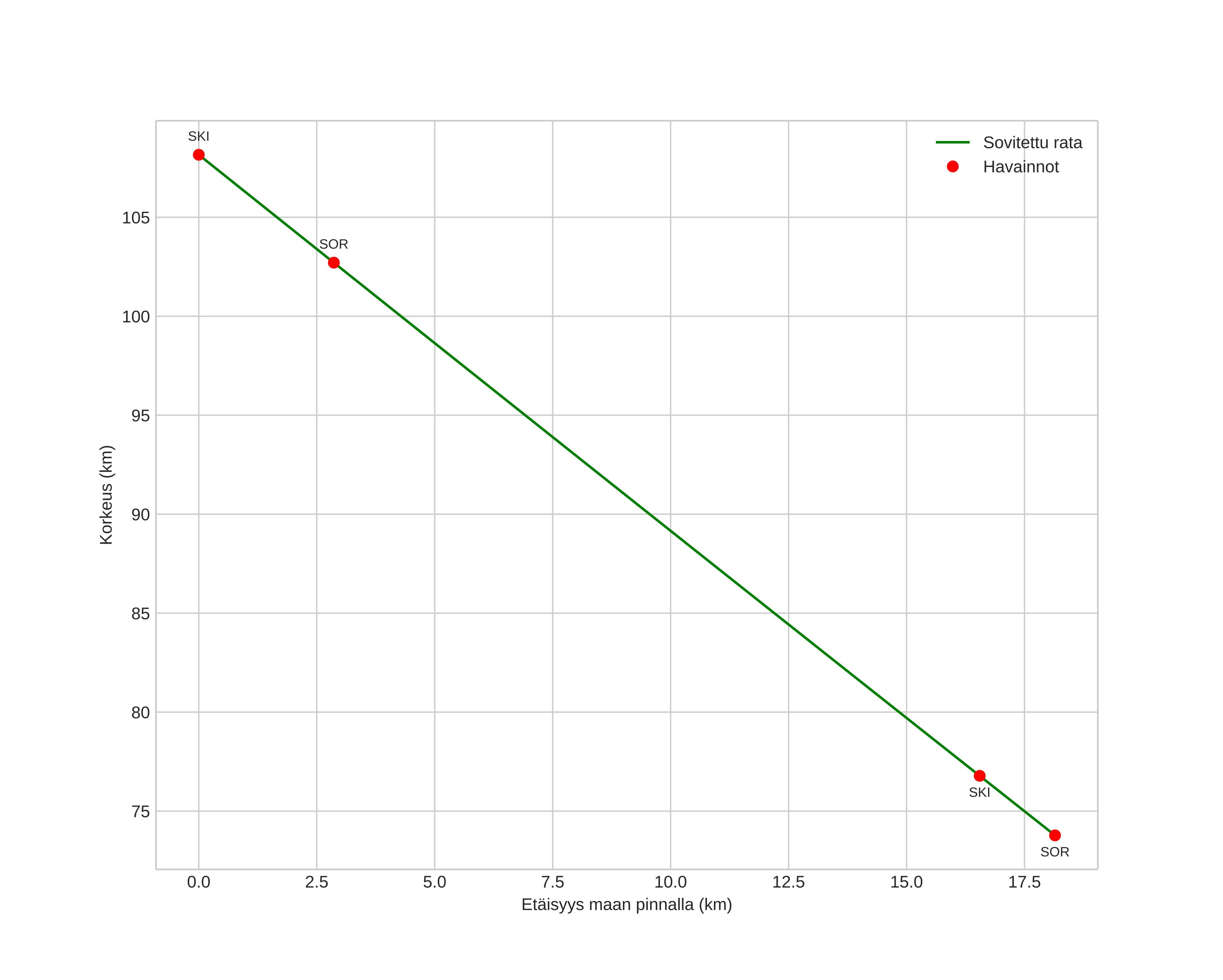
height profile
Meteorin ilmakehärata:
Alkukorkeus: 108,3 km
Loppukorkeus: 73,5 km
Alkupiste: 70,059N 23,613E
Loppupiste: 70,101N 23,134E
Suunta: 284,7°
Kallistuskulma: 61,7°
Tulonopeus: 50,4 km/s
Radiantin R,A,: 15:38 (234,6°)
Radiantin Dekl,: 51,7°
Meteoriparvi: Sporadinen
Meteoroidin rataelementit:
Perihelietäisyys: 0,979 AU
Eksentrisyys: 1,422
Inklinaatio: 75,8°
Nousevan solmun pituus: 282,9°
Perihelin argumentti: 173,1°
Keskianomalia: 1,2°
Epookki: 2024 JAN 04 03:59:58
orbit plot

Ei-interaktiivinen kuvaaja | Interaktiivinen kuvaaja

position vs time
speed and acceleration