🇳🇴 🇬🇧 🇩🇪 🇨🇿 🇫🇮

Meteor, poloha: Storsteinnes 2024-01-04 07:00:11 UTC

Soubor KML  |  InteraktivnĂ­ mapa

Mapa zobrazuje dráhy meteoru. Světlejší čáry ukazují směry od pozorovacích stanic při objevení se meteoru a tmavší čáry, kde byl naposledy viděn. Modrá šipka značí viditelnou dráhu meteoru.

static map
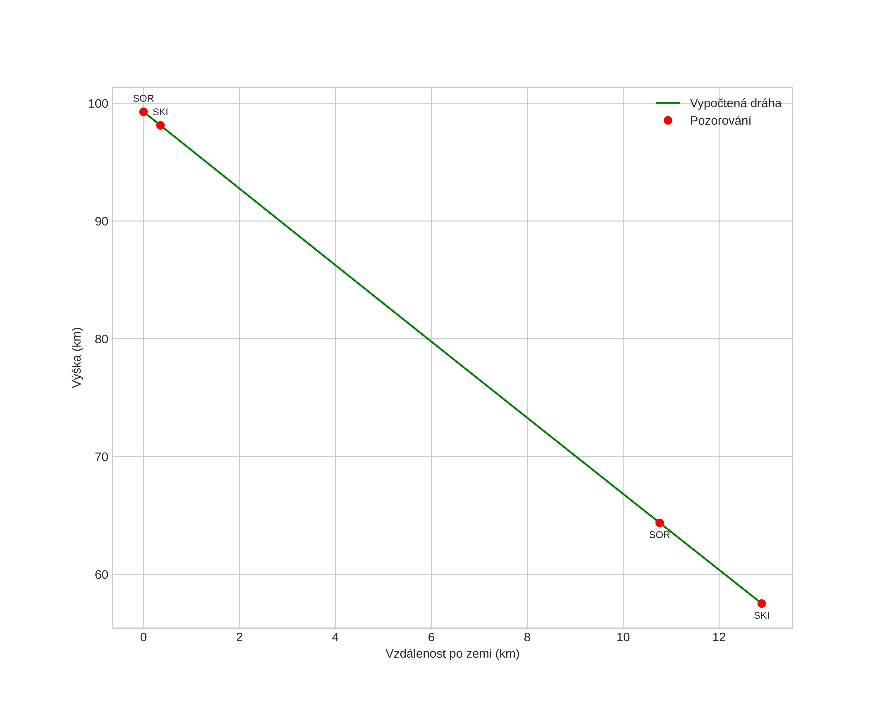
height profile
Atmosférická dráha meteoru:
Počáteční výška: 99,5 km
Konečná výška: 57,5 km
Počáteční poloha: 68,452N 19,223E
Konečná poloha: 68,567N 19,226E
Směr: 0,5°
Sklon: 73,0°
VstupnĂ­ rychlost: 42,0 km/s
Rektascenze radiantu: 15:07 (226,8°)
Deklinace radiantu: 51,1°
MeteorickĂ˝ roj: Kvadrantidy
Elementy dráhy meteoroidu:
Vzdálenost v periheliu: 0,983 AU
Excentricita: 0,632
Sklon dráhy: 71,3°
Délka vzestupného uzlu: 283,1°
Argument perihelia: 178,4°
Střední anomálie: 0,3°
Epocha: 2024 JAN 04 07:00:11
orbit plot

NeinteraktivnĂ­ graf | InteraktivnĂ­ graf

position vs time
speed and acceleration