🇳🇴 🇬🇧 🇩🇪 🇨🇿 🇫🇮

Meteor Storsteinnesin yllä 2024-01-04 07:00:11 UTC

KML-tiedosto  |  Interaktiivinen kartta

Kartta näyttää meteorin suuntahavainnot. Vaaleammat viivat näyttävät suunnat havaintoasemilta meteorin ilmestyessä, ja tummemmat viivat näyttävät, missä se viimeksi nähtiin. Sininen nuoli näyttää meteorin näkyvän lennon.

static map
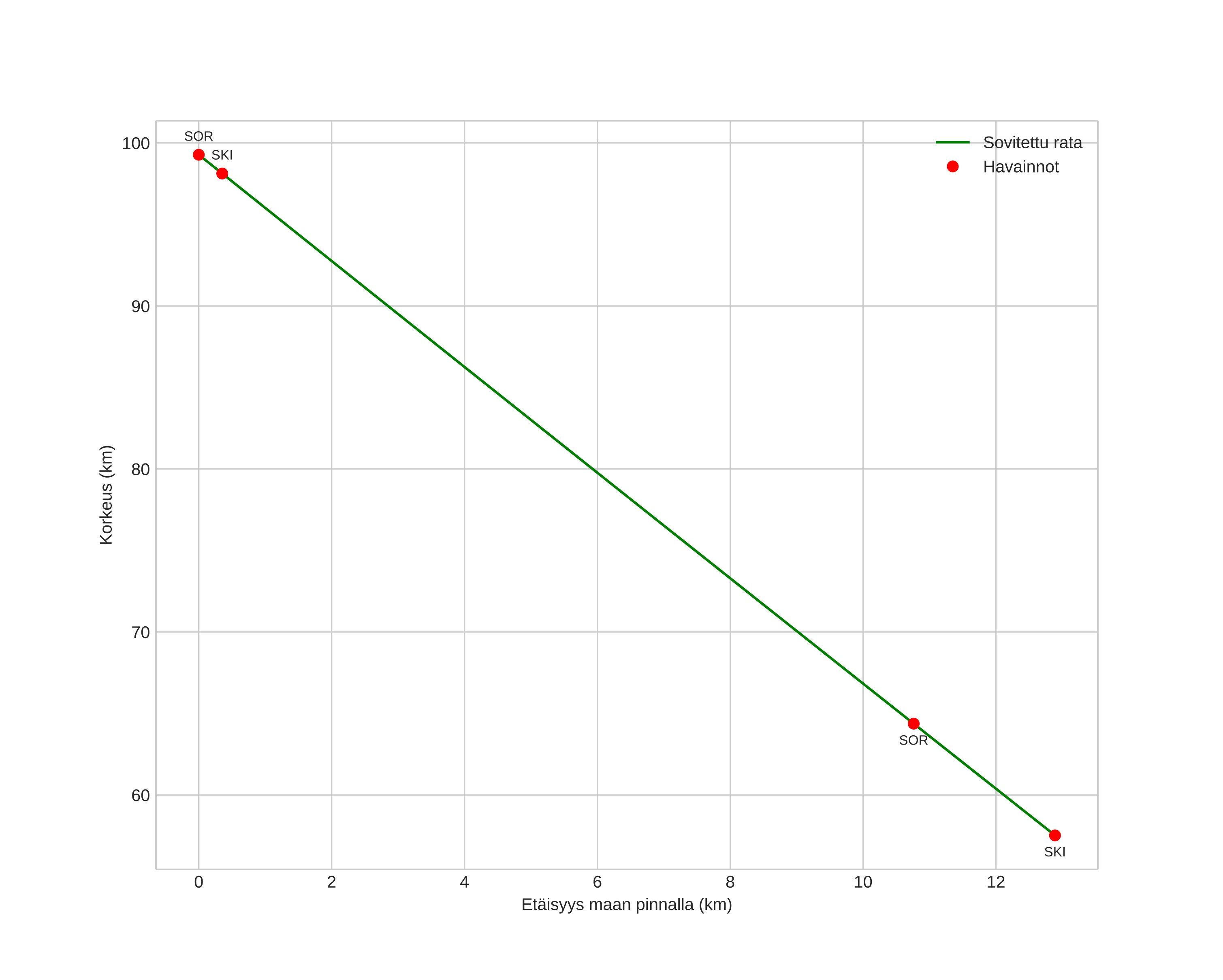
height profile
Meteorin ilmakehärata:
Alkukorkeus: 99,5 km
Loppukorkeus: 57,5 km
Alkupiste: 68,452N 19,223E
Loppupiste: 68,567N 19,226E
Suunta: 0,5°
Kallistuskulma: 73,0°
Tulonopeus: 42,0 km/s
Radiantin R,A,: 15:07 (226,8°)
Radiantin Dekl,: 51,1°
Meteoriparvi: Kvadrantidit
Meteoroidin rataelementit:
Perihelietäisyys: 0,983 AU
Eksentrisyys: 0,632
Inklinaatio: 71,3°
Nousevan solmun pituus: 283,1°
Perihelin argumentti: 178,4°
Keskianomalia: 0,3°
Epookki: 2024 JAN 04 07:00:11
orbit plot

Ei-interaktiivinen kuvaaja | Interaktiivinen kuvaaja

position vs time
speed and acceleration