🇳🇴 🇬🇧 🇩🇪 🇨🇿 🇫🇮

Meteor, poloha: Malmberget 2024-01-04 14:02:41 UTC

Soubor KML  |  InteraktivnĂ­ mapa

Mapa zobrazuje dráhy meteoru. Světlejší čáry ukazují směry od pozorovacích stanic při objevení se meteoru a tmavší čáry, kde byl naposledy viděn. Modrá šipka značí viditelnou dráhu meteoru.

static map
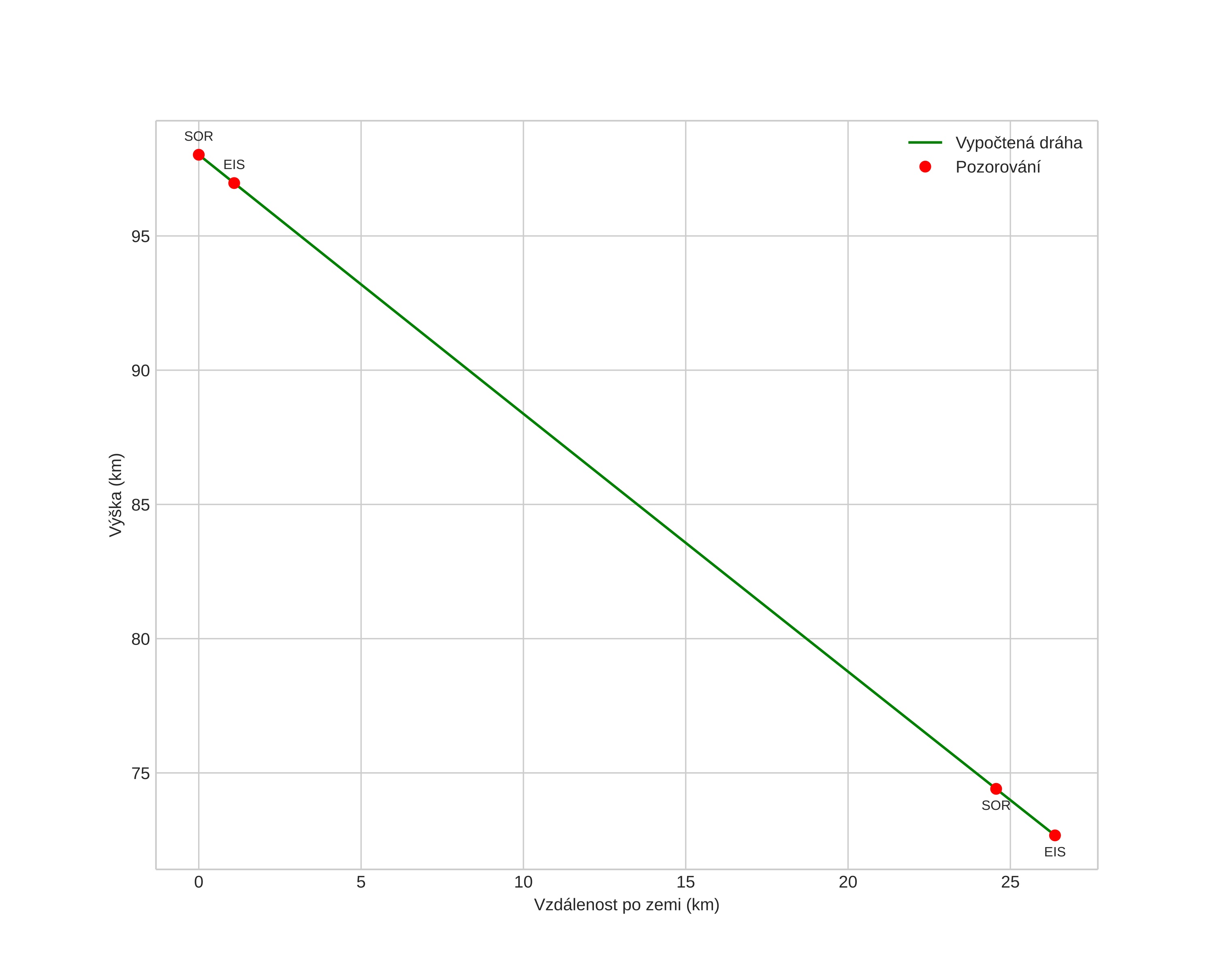
height profile
Atmosférická dráha meteoru:
Počáteční výška: 98,0 km
Konečná výška: 72,7 km
Počáteční poloha: 68,277N 21,231E
Konečná poloha: 68,144N 21,760E
Směr: 123,8°
Sklon: 43,8°
VstupnĂ­ rychlost: 40,1 km/s
Rektascenze radiantu: 15:35 (233,8°)
Deklinace radiantu: 51,4°
MeteorickĂ˝ roj: Kvadrantidy
Elementy dráhy meteoroidu:
Vzdálenost v periheliu: 0,978 AU
Excentricita: 0,652
Sklon dráhy: 67,0°
Délka vzestupného uzlu: 283,4°
Argument perihelia: 171,0°
Střední anomálie: 1,4°
Epocha: 2024 JAN 04 14:02:41
orbit plot

NeinteraktivnĂ­ graf | InteraktivnĂ­ graf

position vs time
speed and acceleration