🇳🇴 🇬🇧 🇩🇪 🇨🇿 🇫🇮

Meteor über Malmberget 2024-01-04 14:02:41 UTC

KML-Datei  |  Interaktive Karte

Die Karte zeigt die Peilungen für den Meteor. Die helleren Linien zeigen die Richtungen von den Beobachtungsorten beim Erscheinen des Meteors, und die dunkleren Linien, wo er zuletzt gesehen wurde. Der blaue Pfeil zeigt die sichtbare Bahn des Meteors.

static map
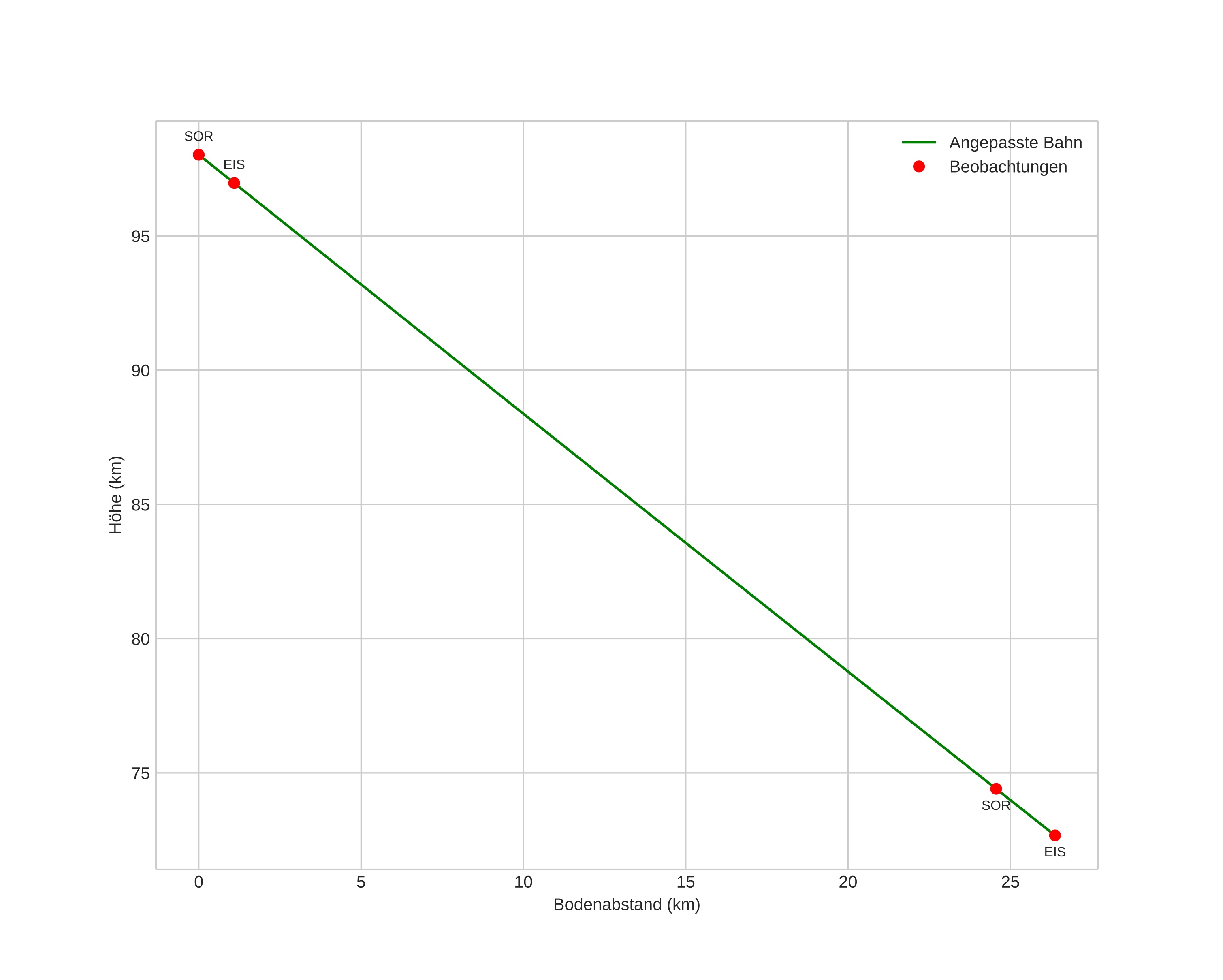
height profile
Atmosphärische Bahn des Meteors:
Anfangshöhe: 98,0 km
Endhöhe: 72,7 km
Startposition: 68,277N 21,231E
Endposition: 68,144N 21,760E
Richtung: 123,8°
Neigungswinkel: 43,8°
Eintrittsgeschwindigkeit: 40,1 km/s
Rektaszension des Radianten: 15:35 (233,8°)
Deklination des Radianten: 51,4°
Meteorstrom: Quadrantiden
Bahnelemente des Meteoroiden:
Periheldistanz: 0,978 AU
Exzentrizität: 0,652
Inklination: 67,0°
Länge des aufsteigenden Knotens: 283,4°
Argument des Perihels: 171,0°
Mittlere Anomalie: 1,4°
Epoche: 2024 JAN 04 14:02:41
orbit plot

Nicht-interaktives Diagramm | Interaktives Diagramm

position vs time
speed and acceleration

Eiscat (EIS) cam5


gnomonic
Videos
• Gnomonisch
• Gnomonisch mit Koordinaten
• Original
• Original mit Koordinaten
Bilder
• Gnomonisch
• Gnomonisch mit Koordinaten
• Gnomonisch mit Beschriftungen
• Original
• Original mit Koordinaten
• Original mit Maske
Textdateien
• Erkennung
• Beobachtung
• Koordinaten
• Fehlermeldungen
• Protokoll
Helligkeit

Sorreisa (SOR) cam2


gnomonic
Videos
• Gnomonisch
• Gnomonisch mit Koordinaten
• Original
• Original mit Koordinaten
Bilder
• Gnomonisch
• Gnomonisch mit Koordinaten
• Gnomonisch mit Beschriftungen
• Original
• Original mit Koordinaten
• Original mit Maske
Textdateien
• Erkennung
• Beobachtung
• Koordinaten
• Fehlermeldungen
• Protokoll
Helligkeit